LEMON Manuals: Even more car manuals for everyone: 1960-2025
Home >> Acura >> 1994 >> NSX Standard >> Repair and Diagnosis >> Engine Performance >> System >> Engine Controls - System & Component Testing >> Air Induction Systems >> Intake Air Bypass (IAB) Control System
April 5, 2026: LEMON Manuals is launched! Read the announcement.

Intake Air Bypass (IAB) Control System

Satisfactory power performance is achieved by closing and opening the intake air bypass (IAB) control valves. High torque at low RPM is achieved when the valves are closed, whereas high power at high RPM is achieved by when the valves are opened. See Fig 1 . For the troubleshooting flowchart see Fig 2 and Fig 3 .

Fig 1: Intake Air Bypass (IAB) Control System
G00107168Courtesy of AMERICAN HONDA MOTOR CO., INC.
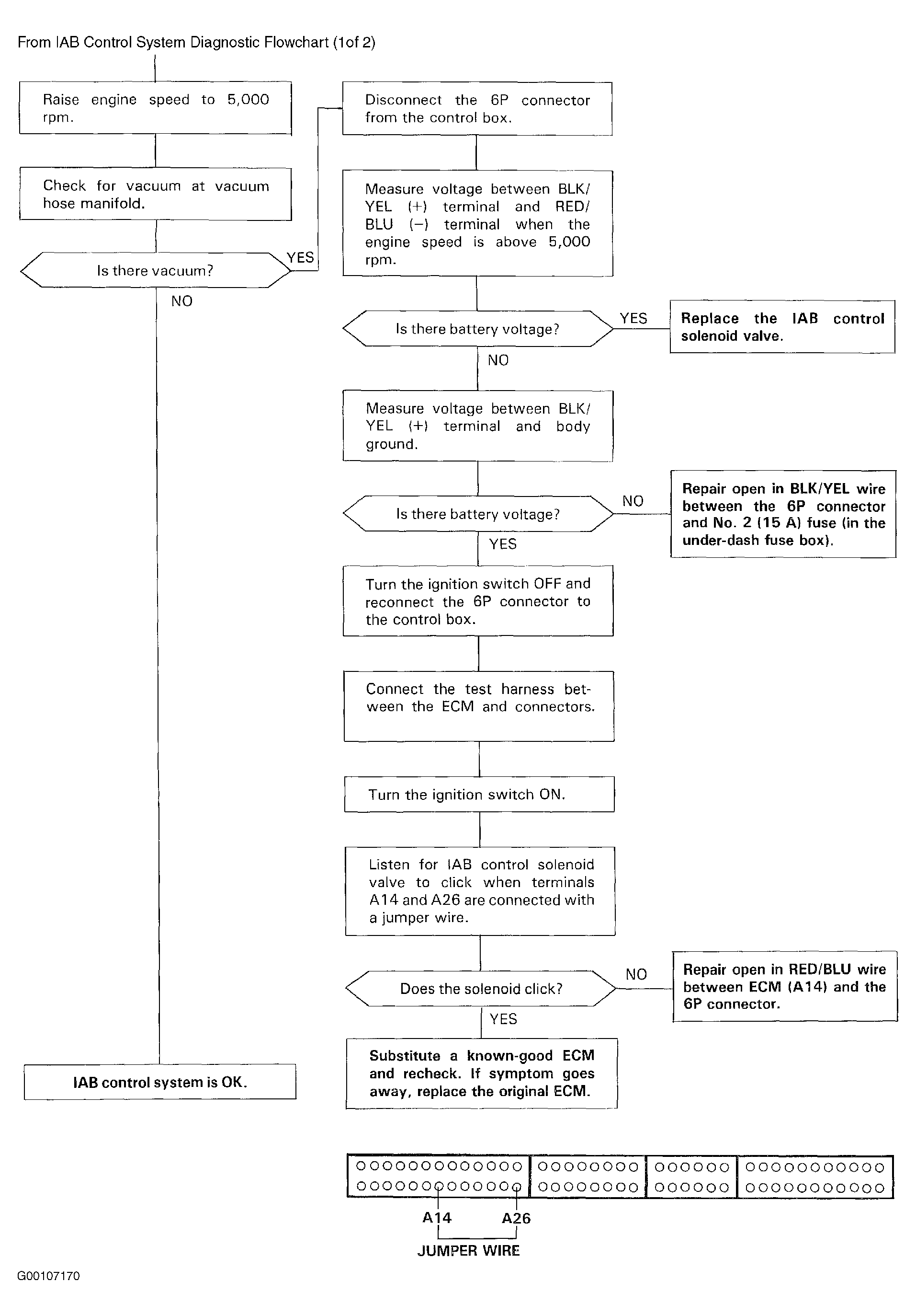
Fig 2: IAB Control System Diagnostic Flowchart (1 Of 2)
G00107169Courtesy of AMERICAN HONDA MOTOR CO., INC.
Fig 3: IAB Control System Diagnostic Flowchart (2 Of 2)
G00107170Courtesy of AMERICAN HONDA MOTOR CO., INC.
CAUTION: Do not adjust the IAB control valve full-close screw. It is preset at the factory.
  1. Check the IAB control valve shaft for binding or sticking.
  2. Check the IAB control valve for smooth movement.
  3. Check that (A) of the IAB control valve is in close contact with the stopper when the vacuum hose is disconnected from the IAB control diaphragm. See Fig 4 .
    Fig 4: Inspecting IAB Control Valve
    G00107171Courtesy of AMERICAN HONDA MOTOR CO., INC.
  4. Check that (B) of the IAB control valve is in close contact with the full-close screw when you apply 15 in. Hg (380 mm Hg) of vacuum to the IAB control diaphragm. See Fig 5 .
    Fig 5: Inspecting The Full-Close Screw Of The IAB
    G00107172Courtesy of AMERICAN HONDA MOTOR CO., INC.
  5. If any fault is found, clean the linkage and shafts with carburetor cleaner.
  6. If the problem still exists after cleaning, disassemble the intake manifold and check the chamber volume control valve.