LEMON Manuals: Even more car manuals for everyone: 1960-2025
Home >> Acura >> 1996 >> 3.2TL >> Repair and Diagnosis >> Brakes >> Traction Control >> Traction Control System >> Circuit Tests >> DTC 2-1: Steering Angle Sensor
April 5, 2026: LEMON Manuals is launched! Read the announcement.

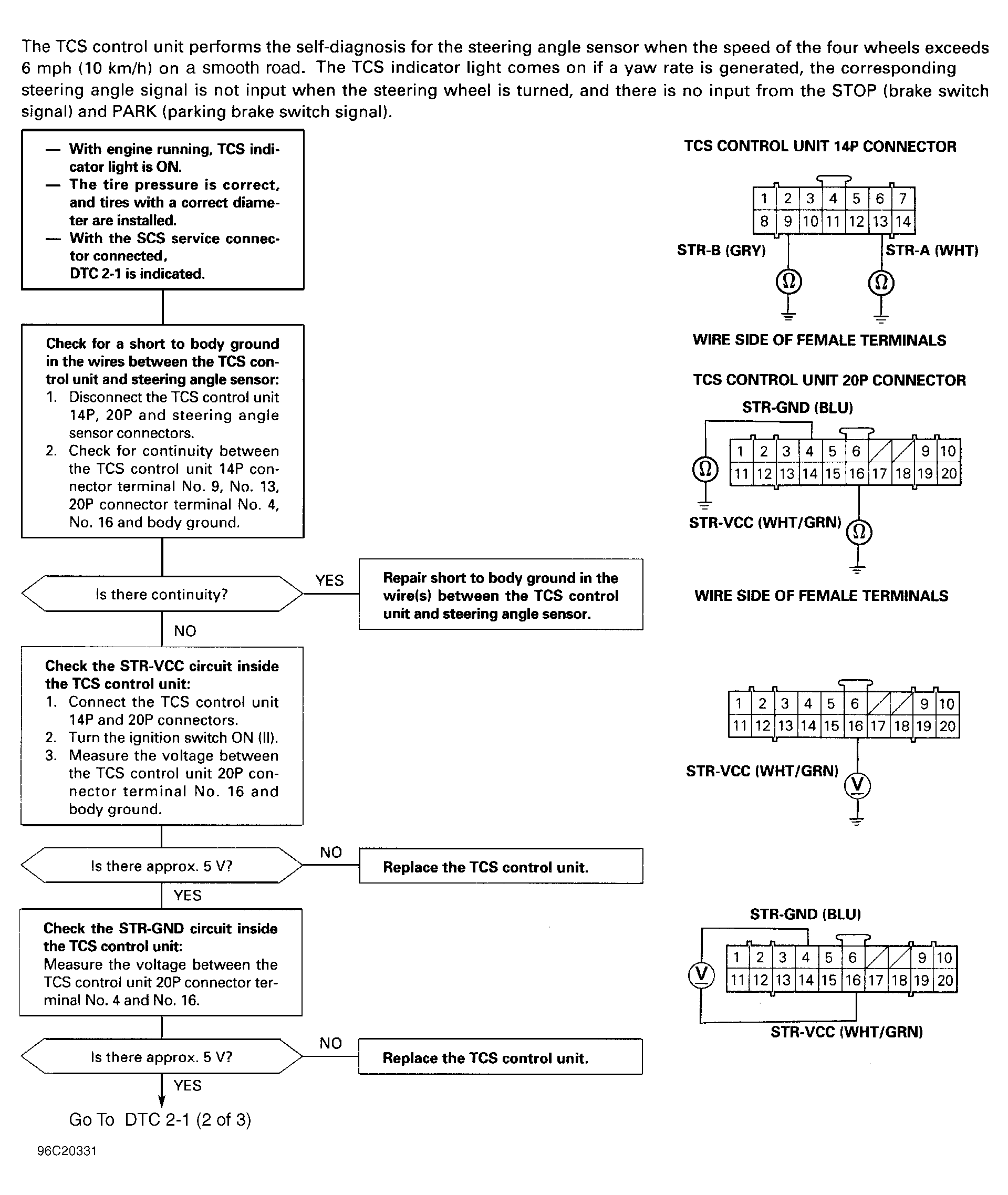
DTC 2-1: Steering Angle Sensor

Fig 1: DTC 2-1: Steering Angle Sensor (1 Of 3)
G96C20331Courtesy of AMERICAN HONDA MOTOR CO., INC.
Fig 2: DTC 2-1: Steering Angle Sensor (2 Of 3)
G96D20332Courtesy of AMERICAN HONDA MOTOR CO., INC.
Fig 3: DTC 2-1: Steering Angle Sensor (3 Of 3)
G96E20333Courtesy of AMERICAN HONDA MOTOR CO., INC.