LEMON Manuals: Even more car manuals for everyone: 1960-2025
Home >> Acura >> 1996 >> 3.5RL >> Repair and Diagnosis >> Brakes >> Traction Control >> Traction Control System >> Circuit Tests >> DTC 2-1: Steering Angle Sensor
April 5, 2026: LEMON Manuals is launched! Read the announcement.

DTC 2-1: Steering Angle Sensor

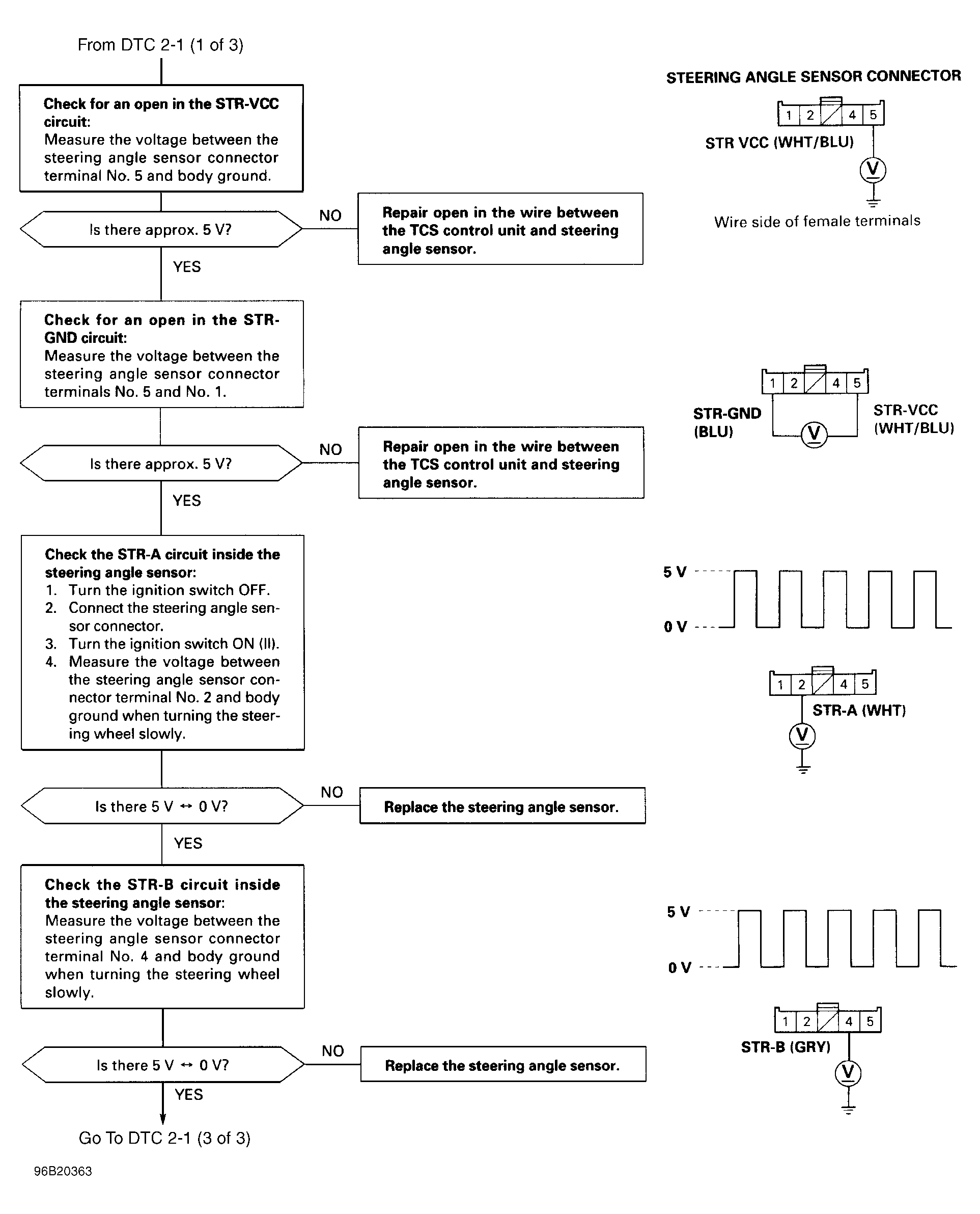
Fig 1: DTC 2-1: Steering Angle Sensor (1 Of 3)
G96A20362Courtesy of AMERICAN HONDA MOTOR CO., INC.
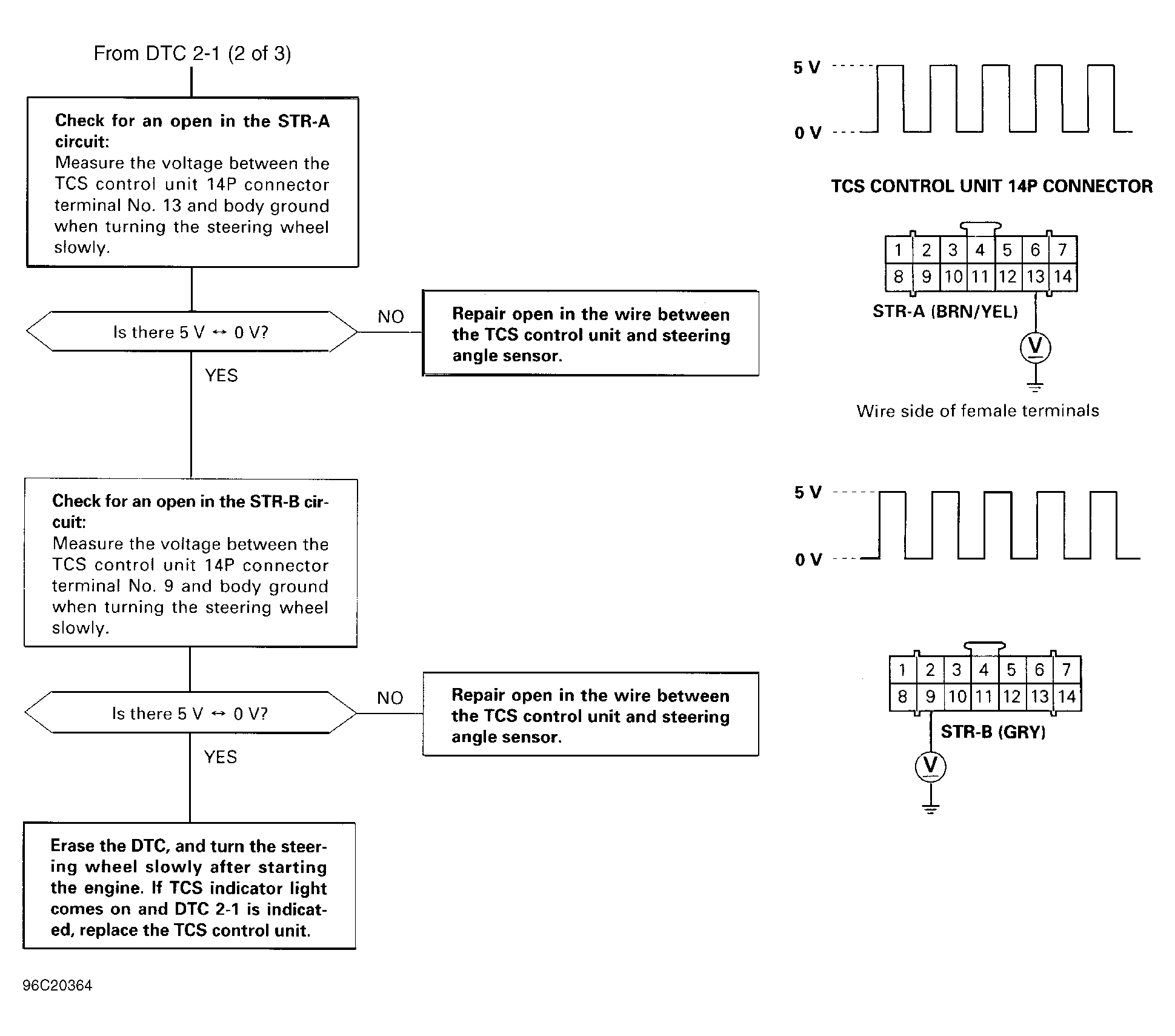
Fig 2: DTC 2-1: Steering Angle Sensor (2 Of 3)
G96B20363Courtesy of AMERICAN HONDA MOTOR CO., INC.
Fig 3: DTC 2-1: Steering Angle Sensor (3 Of 3)
G96C20364Courtesy of AMERICAN HONDA MOTOR CO., INC.