LEMON Manuals: Even more car manuals for everyone: 1960-2025
Home >> Acura >> 1996 >> NSX Standard >> Repair and Diagnosis >> Engine Performance >> System >> Engine Controls - System & Component Testing >> Idle Control Systems >> Alternator Fr Signal
April 5, 2026: LEMON Manuals is launched! Read the announcement.

Alternator Fr Signal

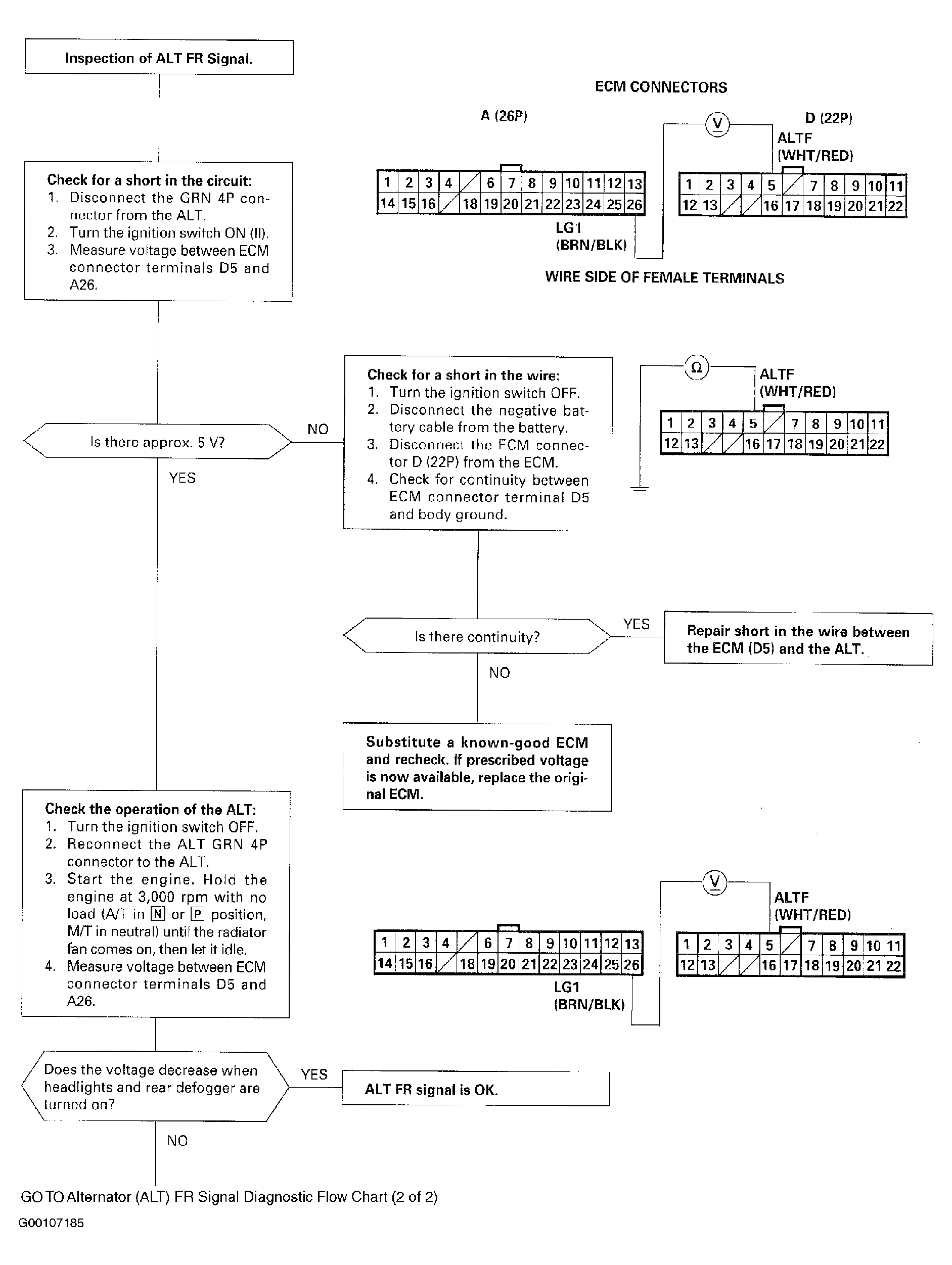
This signals the ECM when the alternator (ALT) is charging. For troubleshooting of the FR signal circuit, see Fig 1 and Fig 2 .

Fig 1: Alternator (ALT) FR Signal Diagnostic Flow Chart (1 Of 2)
G00107185Courtesy of AMERICAN HONDA MOTOR CO., INC.
Fig 2: Alternator (ALT) FR Signal Diagnostic Flow Chart (2 Of 2)
G00107186Courtesy of AMERICAN HONDA MOTOR CO., INC.