LEMON Manuals: Even more car manuals for everyone: 1960-2025
Home >> Acura >> 2000 >> RL V6-3474cc 3.5L >> Repair and Diagnosis >> Relays and Modules >> Relays and Modules - Engine >> Engine Mount Control Unit >> Testing and Inspection >> Troubleshooting Flowchart
April 5, 2026: LEMON Manuals is launched! Read the announcement.

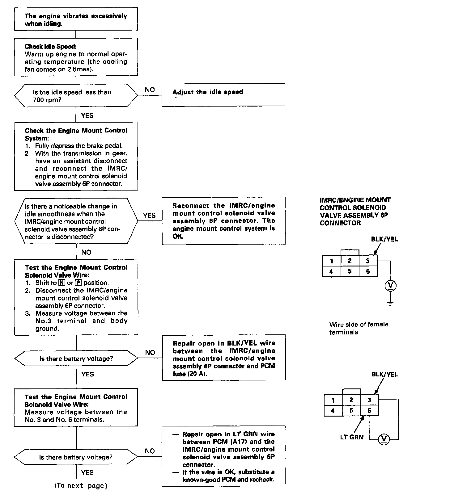
Troubleshooting Flowchart

Troubleshooting Flowchart





Part 1 of 2





Part 2 of 2

NOTE:
- Check the vacuum hoses and lines for damage and proper connections.
- Refer to the Troubleshooting Procedures.