LEMON Manuals: Even more car manuals for everyone: 1960-2025
Home >> Acura >> 2003 >> 3.5RL V6-3474cc 3.5L >> Repair and Diagnosis >> Body and Frame >> Mirrors >> Memory Positioning Systems >> Testing and Inspection >> Symptom Related Diagnostic Procedures >> Symptom Diagnostic Procedures >> Flowchart No. 2 - Fault In Driving Position Memory Switch
April 5, 2026: LEMON Manuals is launched! Read the announcement.

Flowchart No. 2 - Fault In Driving Position Memory Switch

Part 1 Of 5:




Part 2 Of 5:




Part 3 Of 5:




Part 4 Of 5:




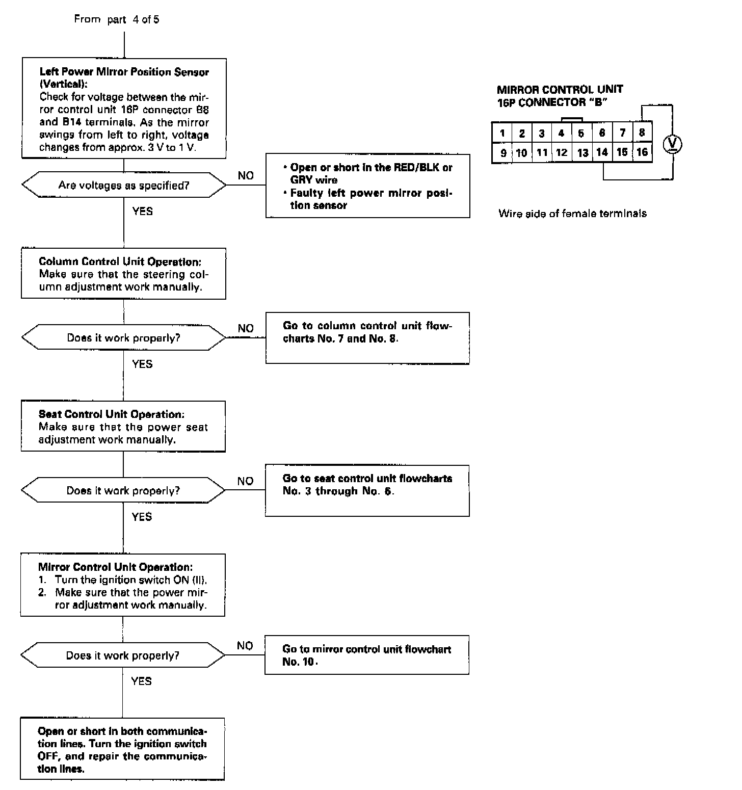
Part 5 Of 5:




NOTE: The column control unit and the seat control unit. and the column control unit and the mirror control unit are connected by two communication lines. If one of these lines is open or shorted. the automatic adjustment still functions. If both lines are open or short, the automatic adjustment stops functioning. and only the manual adjustment functions.