LEMON Manuals: Even more car manuals for everyone: 1960-2025
Home >> Acura >> 2003 >> 3.5RL V6-3474cc 3.5L >> Repair and Diagnosis >> Body and Frame >> Mirrors >> Memory Positioning Systems >> Testing and Inspection >> Symptom Related Diagnostic Procedures >> Symptom Diagnostic Procedures >> Flowchart No. 11 - Fault In Driving Position Memory Switch
April 5, 2026: LEMON Manuals is launched! Read the announcement.

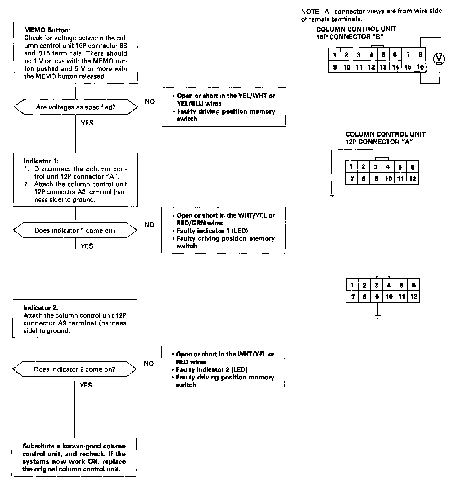
Flowchart No. 11 - Fault In Driving Position Memory Switch