LEMON Manuals: Even more car manuals for everyone: 1960-2025
Home >> Acura >> 2003 >> 3.5RL V6-3474cc 3.5L >> Repair and Diagnosis >> Powertrain Management >> Transmission Control Systems >> Testing and Inspection >> Component Tests and General Diagnostics >> Non-Trouble Code Procedures >> Interlock System - Shift Lock System Circuit Troubleshooting
April 5, 2026: LEMON Manuals is launched! Read the announcement.

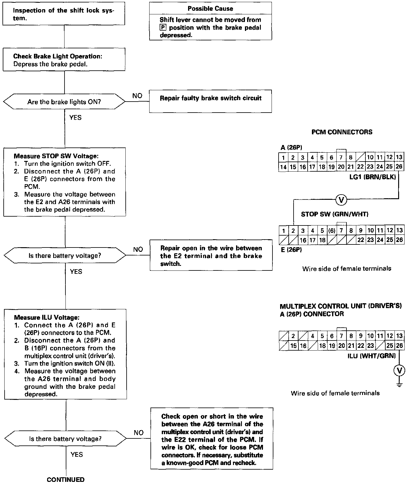
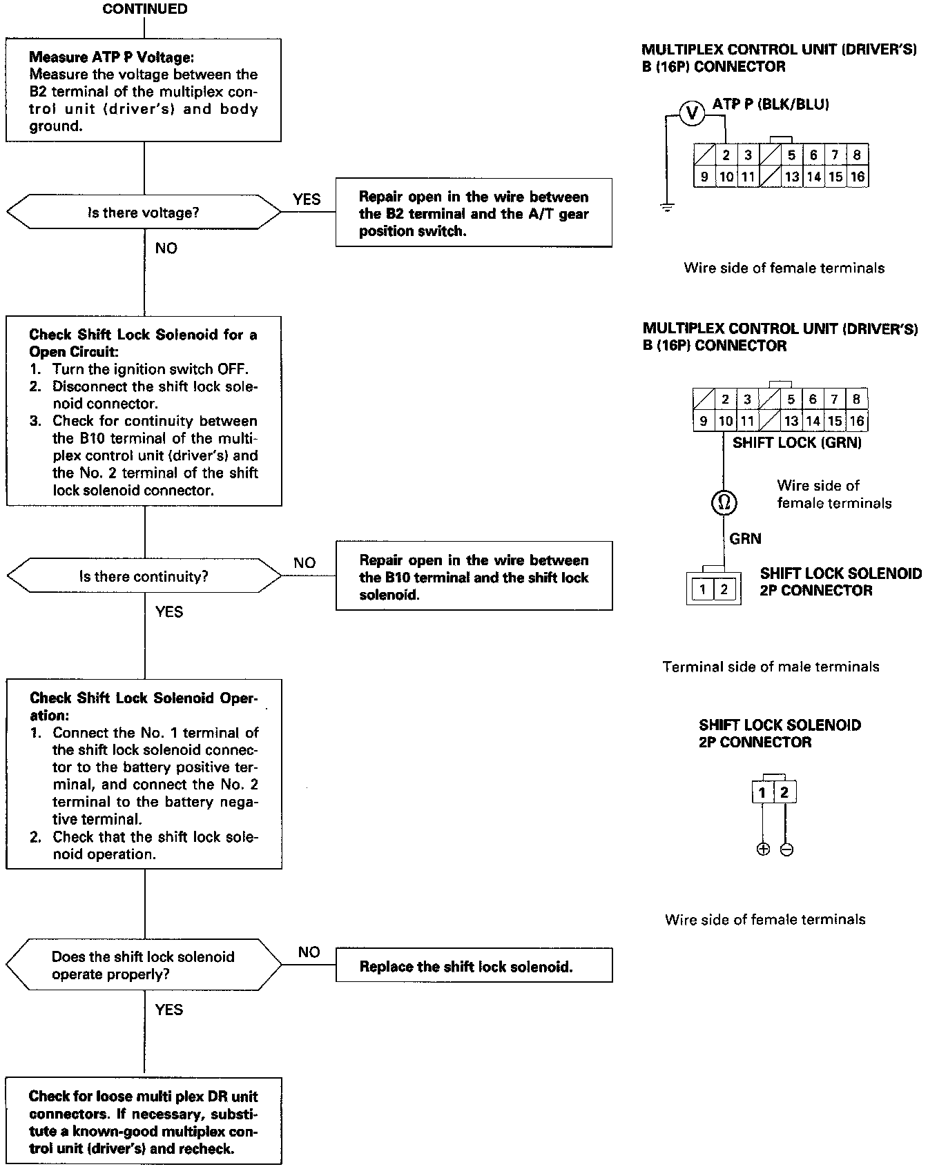
Interlock System - Shift Lock System Circuit Troubleshooting