LEMON Manuals: Even more car manuals for everyone: 1960-2025
Home >> Cadillac >> 1983 >> Seville 4.1 8 >> Repair and Diagnosis >> Engine Performance >> System >> DFI Tests W/Codes >> Diagnostic Code Charts >> Code 38 - Open Mat Sensor >> Notes
April 5, 2026: LEMON Manuals is launched! Read the announcement.

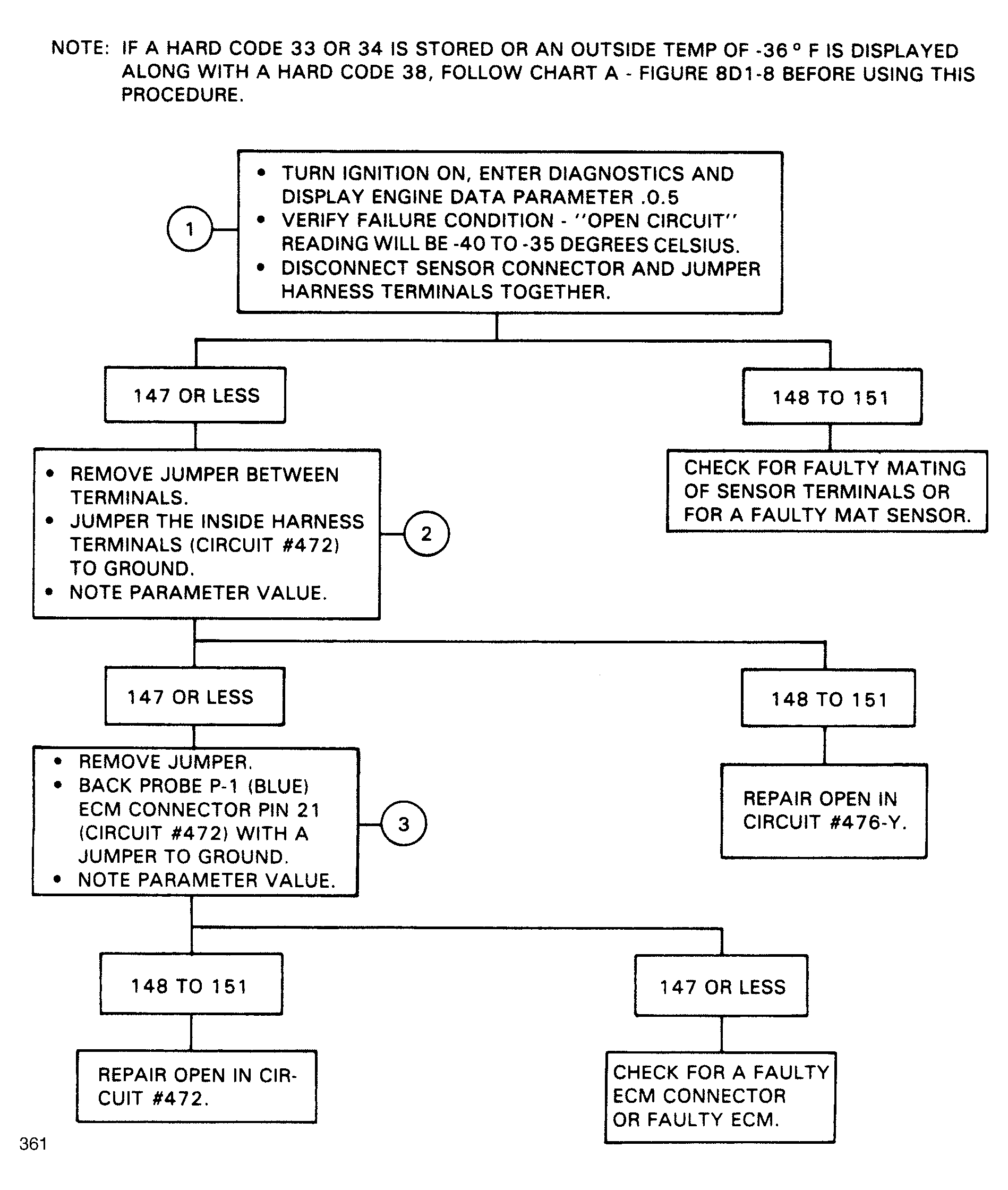
Code 38 - Open Mat Sensor: Notes

Fig 1: Flow Chart, Code 38 - Open MAT Sensor Circuit
G361
Fig 2: Flow Chart, Code 38 - Open MAT Sensor Circuit
GB0046338