LEMON Manuals: Even more car manuals for everyone: 1960-2025
Home >> Cadillac >> 1984 >> Seville 4.1 8 >> Repair and Diagnosis >> Engine Performance >> System >> DFI Tests W/Codes >> Diagnostic Testing >> Code 22 Diagnostic Flow Chart
April 5, 2026: LEMON Manuals is launched! Read the announcement.

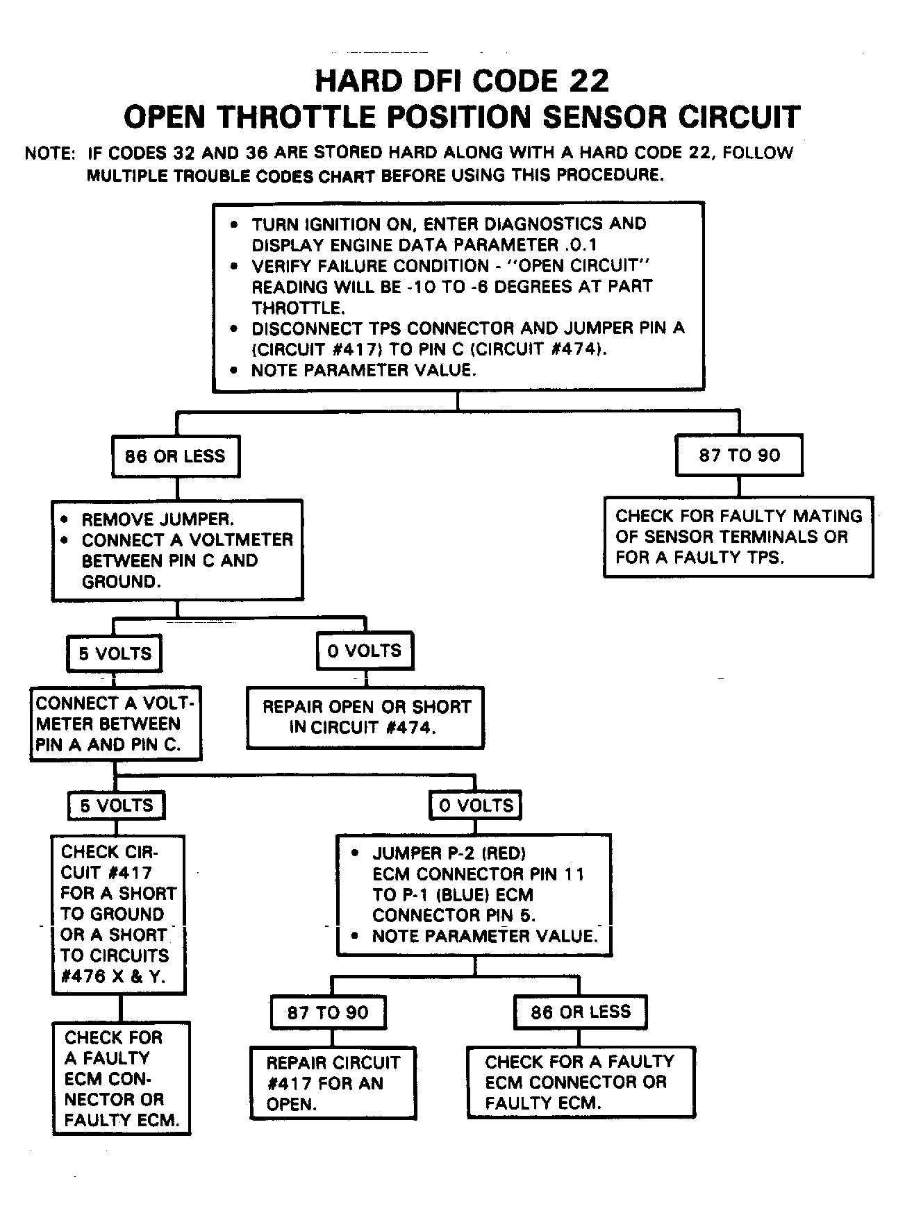
Code 22 Diagnostic Flow Chart

Fig 1: Hard Trouble Code 22
G9222