LEMON Manuals: Even more car manuals for everyone: 1960-2025
Home >> Cadillac >> 1984 >> Seville V8-252 4.1L >> Repair and Diagnosis >> Powertrain Management >> Computers and Control Systems >> Electronic Spark Control Module >> Testing and Inspection
April 5, 2026: LEMON Manuals is launched! Read the announcement.

Electronic Spark Control Module: Testing and Inspection

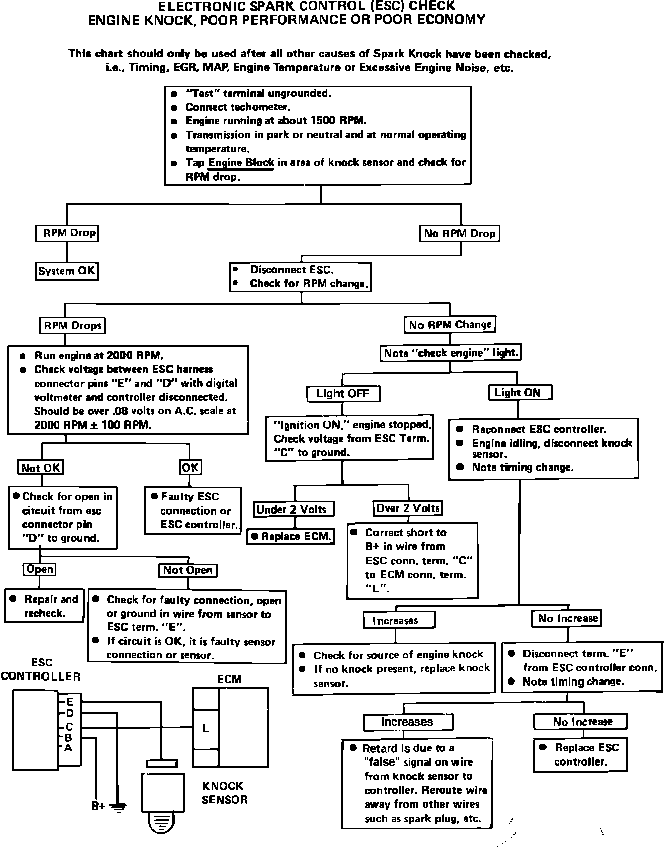
Fig. 6a ESC Performance Chart: