LEMON Manuals: Even more car manuals for everyone: 1960-2025
Home >> Cadillac >> 1987 >> Allante F7/ME9 >> Repair and Diagnosis >> Body & Frame >> Body, Cab Control Systems >> Body Computer Module >> Diagnostic Tests >> DTC B334: Loss Of ECM Serial Data >> Intermittent
April 5, 2026: LEMON Manuals is launched! Read the announcement.

DTC B334: Loss Of ECM Serial Data: Intermittent

If only Code B334 is stored as "History", check the power and grounds for intermittent faults and 800E for an intermittent open circuit. If ECM code EO52 history is also set, refer to SELF-DIAGNOSTICS article in ENGINE PERFORMANCE.

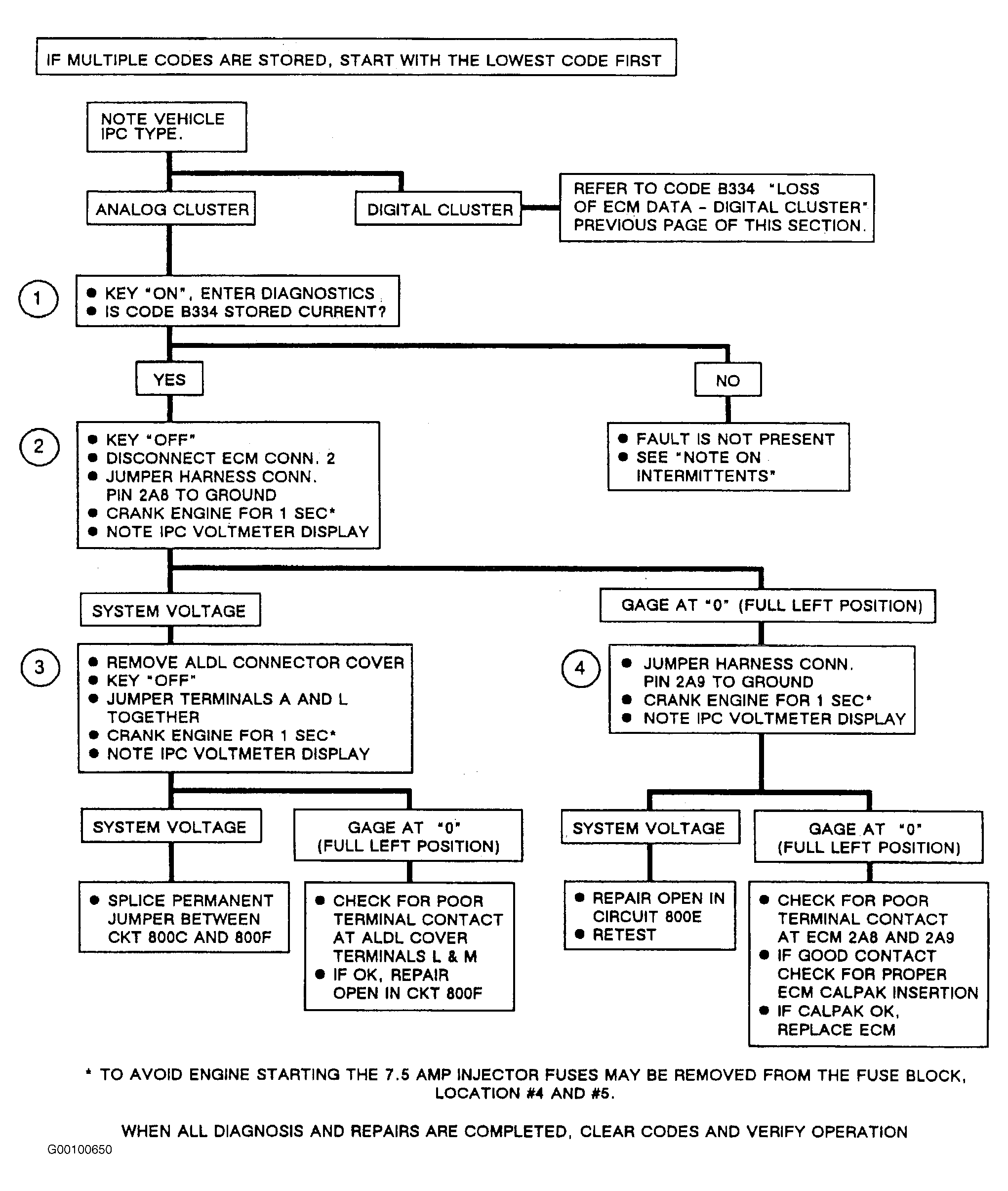
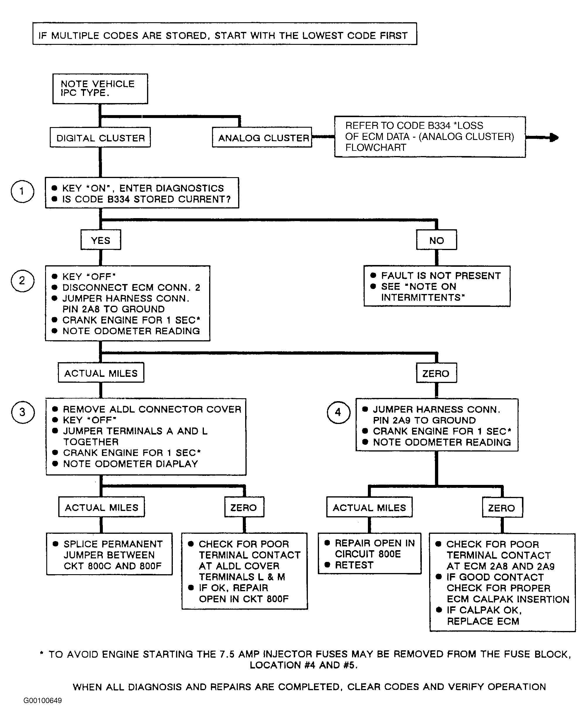
NOTE: The following numbered steps refer to circled numbers on diagnostic chart. For digital cluster see Fig 1. For analog cluster see Fig 2. For digital and analog cluster circuit identification, see Fig 3.
  1. This step checks for intermittent operating conditions.
  2. This step checks to see if the open is in CKT 800F or 800D.
  3. If there is an open in circuit 800F or 800D, this step finds which side of the ALDL it is on.
  4. This step checks for an open in circuit 800E.
NOTE: When all diagnosis and repairs are completed, clear codes and verify operation.
Fig 1: DTC B334: Loss Of ECM Data (Digital Cluster) Flow Chart
G00100649Courtesy of GENERAL MOTORS CORP.
Fig 2: DTC B334: Loss Of ECM Data (Analog Cluster) Flow Chart
G00100650Courtesy of GENERAL MOTORS CORP.
Fig 3: DTC B334: Loss Of ECM Data (Analog & Digital Cluster) Flow Chart Circuit
G00100648Courtesy of GENERAL MOTORS CORP.