LEMON Manuals: Even more car manuals for everyone: 1960-2025
Home >> Cadillac >> 1987 >> Seville >> Repair and Diagnosis >> Engine Performance >> System >> DFI ECM Tests W/Codes >> Diagnosis & Testing >> Code EO51 - Prom Error >> Notes On Intermittents
April 5, 2026: LEMON Manuals is launched! Read the announcement.

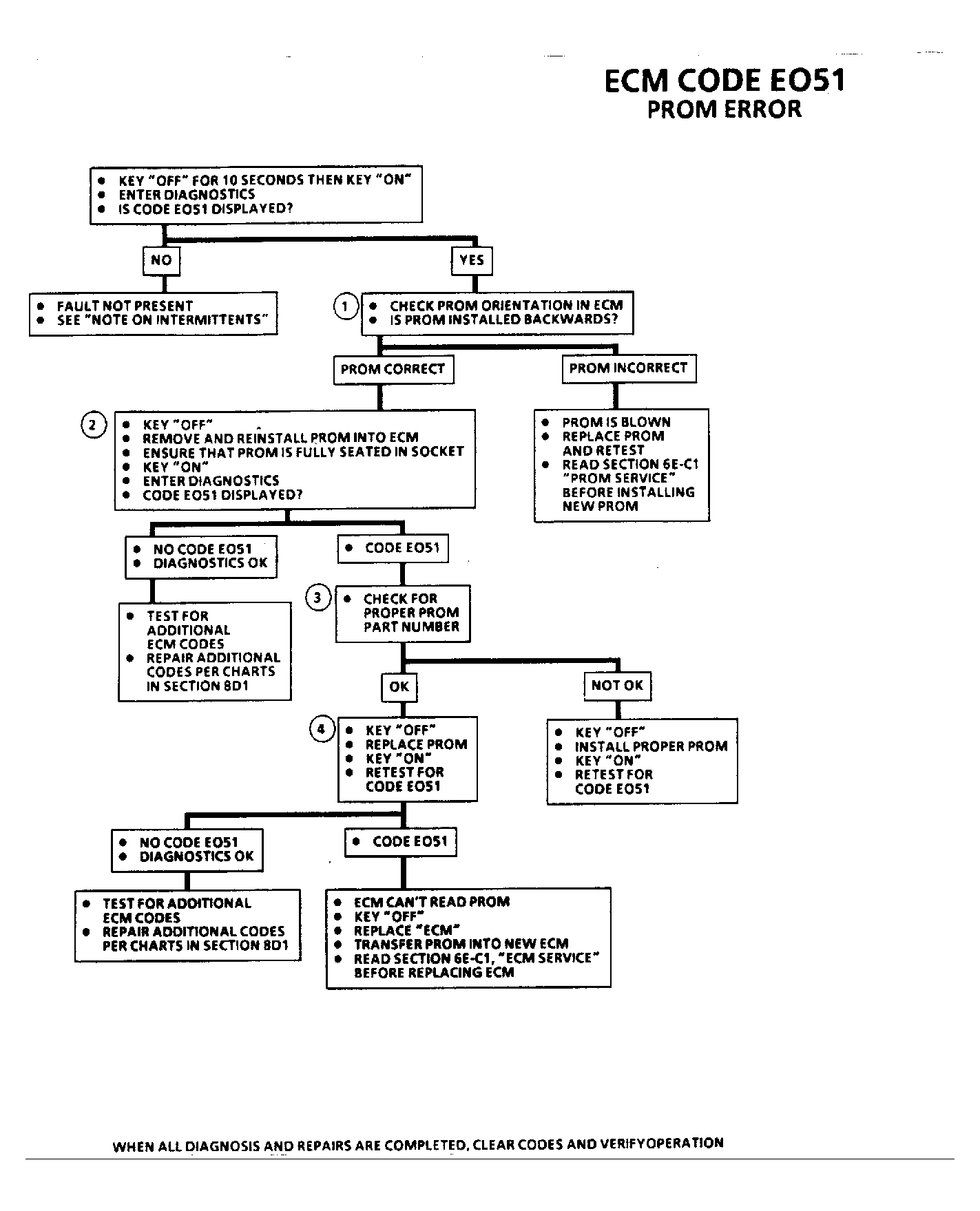
Notes On Intermittents

Inspect PROM for proper installation into carrier, bent or cracked pins or plastic carrier bowed or damaged. Inspect ECM PROM socket for damage to keys at socket plastic where socket mates to PROM carrier. If a PROM carrier assembly is forced into socket backwards, socket may be damaged even though PROM and ECM are electrically okay.

Diagnose intermittent code "EO51" accompanied by "EO18", "EO23", "EO52" or "EO53", using "EO52" procedure. Code "EO51" may be set falsely due to ECM loss of power or ground, and/or reset due to transient voltages. The ECM only checks for PROM error at key on. If PROM is intermittently making contact, code "EO51" will set and latch for entire key cycle. If PROM is reseated or removed and replaced to check for PROM miss-installed, key must be turned to "OFF" position, and then to "ON" position again to clear current code. Retest for PROM error.

Fig 1: Trouble Code E051 - PROM Error Indicator
G4393
Fig 2: Trouble Code E051 - PROM Error Indicator (1 of 2)
GB0020755
Fig 3: Trouble Code E051 - PROM Error Indicator (2 of 2)
GB0020756