LEMON Manuals: Even more car manuals for everyone: 1960-2025
Home >> Cadillac >> 1989 >> Seville Base >> Repair and Diagnosis >> Engine Performance >> System >> DFI BCM Tests W/Codes >> Multiple Intermittent Codes >> Code B441 - Cooling Fans Problem >> Notes On Intermittents
April 5, 2026: LEMON Manuals is launched! Read the announcement.

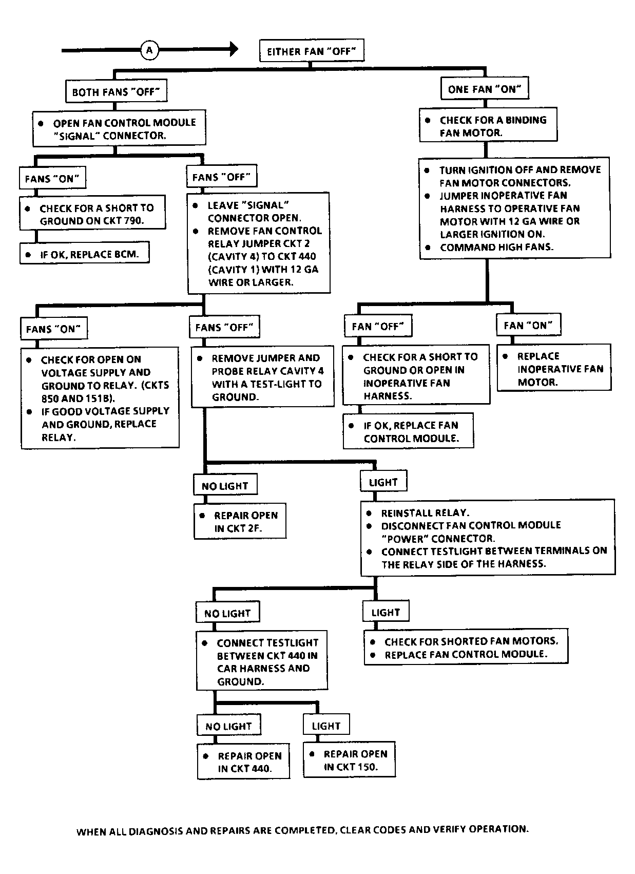
Notes On Intermittents

If intermittent code B441 is being set, manipulate related wiring while observing cooling fans feedback input BI41, and commanding high fans or fans off in override diagnostic mode. If failure is induced, fans status will not agree with commanded operation. This will help to isolate location of malfunction.

Fig 1: Flow Chart, BCM Code B441, Cooling Fans Problem (1 of 2)
G50E01879
Fig 2: Flow Chart, BCM Code B441, Cooling Fans Problem (2 of 2)
G57438