LEMON Manuals: Even more car manuals for everyone: 1960-2025
Home >> Cadillac >> 1990 >> Allante F7/ME9 >> Repair and Diagnosis >> Brakes >> Anti-Lock/Traction Control >> System Tests >> Chart G: System Power Circuits >> Test Description
April 5, 2026: LEMON Manuals is launched! Read the announcement.

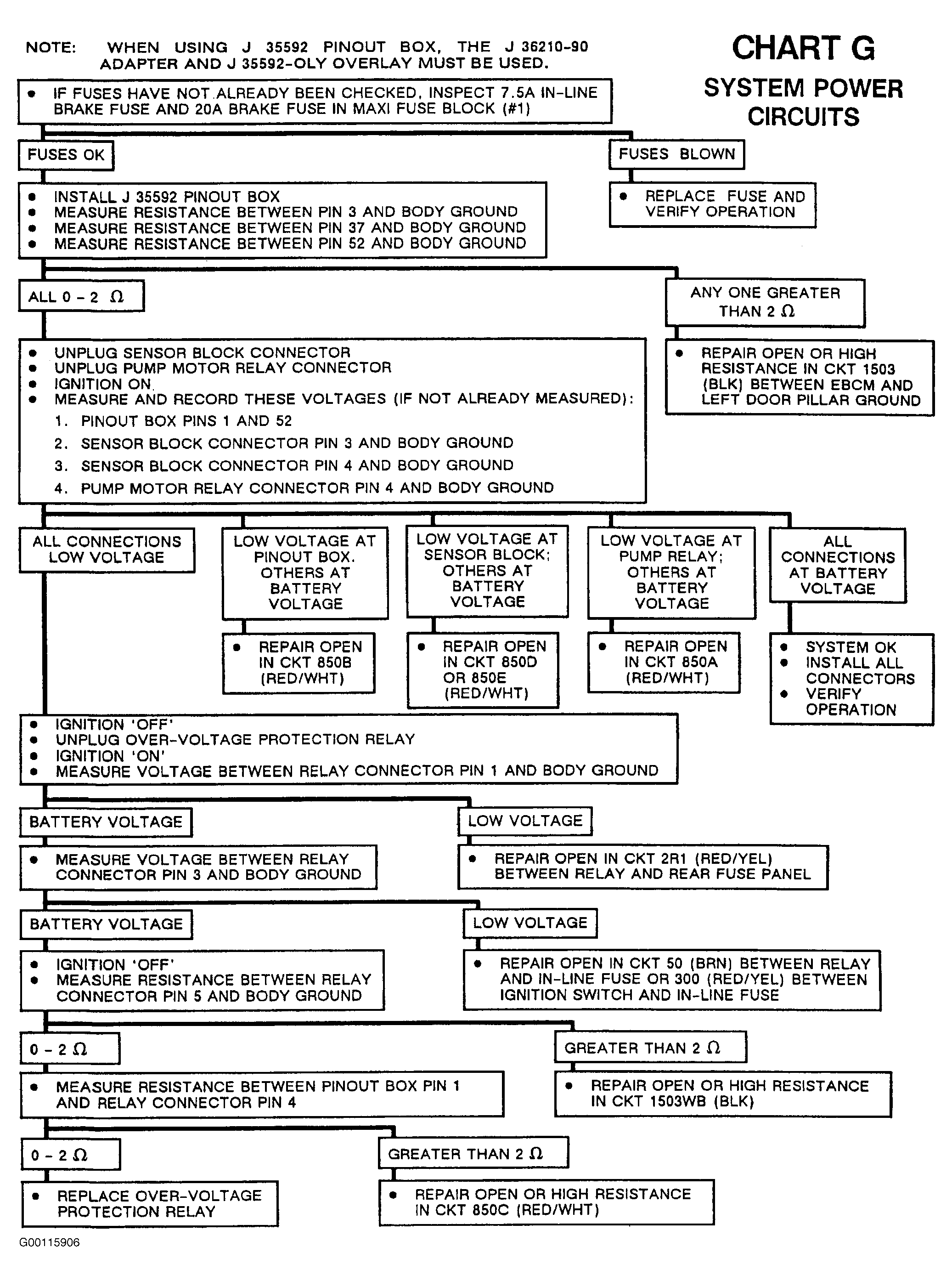
Test Description

For test description, see Fig 1 .

Fig 1: Chart G: Diagnostic Chart
G00115906Courtesy of GENERAL MOTORS CORP.