LEMON Manuals: Even more car manuals for everyone: 1960-2025
Home >> Cadillac >> 1990 >> Seville Base, 4T60/ME9 >> Repair and Diagnosis >> Engine Performance >> System >> Engine Controls - Tests W/Codes >> ECM Trouble Code Charts >> ECM Code EO34, Map Signal Too High >> Note On Intermittents
April 5, 2026: LEMON Manuals is launched! Read the announcement.

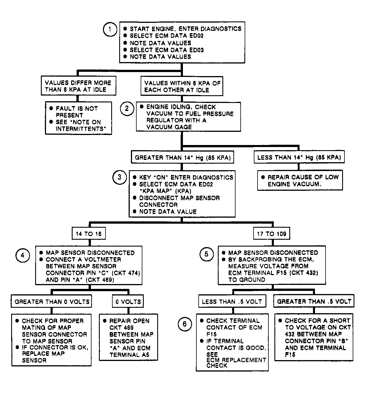
Note On Intermittents

Code EO34 is usually set by a vacuum supply problem to MAP sensor. Check for proper vacuum routing for MAP hose connected to proper throttle body port, or MAP hose chafed, pinched or cut. Apply vacuum to MAP hose at throttle body, and look for vacuum leaks in MAP hose or MAP sensor.

Manipulate affected wiring and connections while observing ECM parameter ED02. If ECM parameter jumps or skips high with vacuum applied, the condition has been induced and cause of intermittent can be repaired. If wiring and connectors are okay, substitute a known good sensor and retest.

Fig 1: ECM Code EO34 Circuit Diagram
G90F21720
Fig 2: ECM Code EO34 Flow Chart
G90G13710