LEMON Manuals: Even more car manuals for everyone: 1960-2025
Home >> Cadillac >> 1990 >> Seville Base, 4T60/ME9 >> Repair and Diagnosis >> Engine Performance >> System >> Engine Controls - Tests W/Codes >> ECM Trouble Code Charts >> ECM Code EO63: Vehicle Speed/Set Speed Difference Too High >> Action Taken:
April 5, 2026: LEMON Manuals is launched! Read the announcement.

Action Taken:

Disengage cruise control.

Code EO63 will set and disengage cruise control if vehicle speed is 20 MPH more than cruise set speed. Code EO63 is designed to detect a cruise control problem that results in cruise overspeed or cannot hold speed.

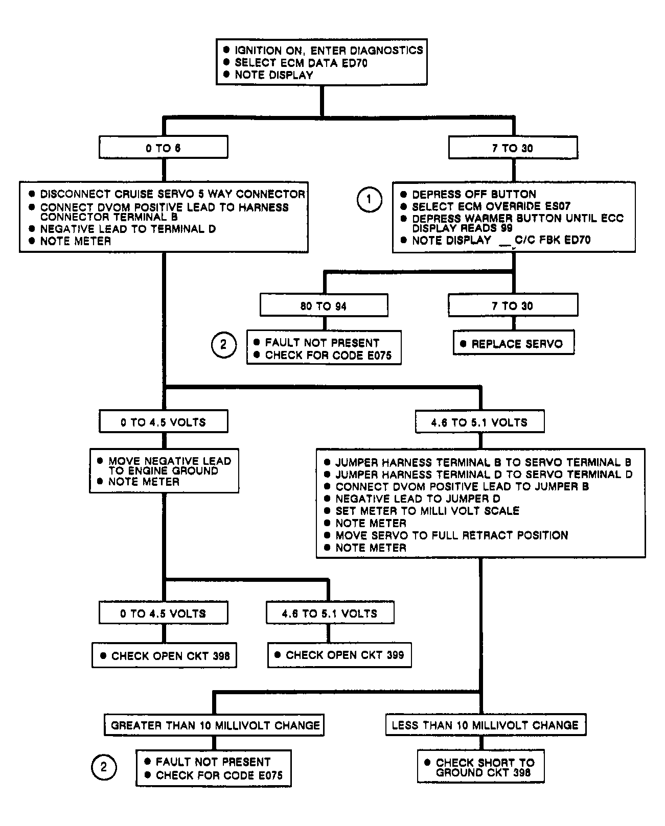
NOTE: Test numbers refer to test numbers on diagnostic chart.

Test Number 1)  ECM data value ED70 displays servo position. Range is approximately 4 to 94 percent. If servo will not go to full stroke, the vacuum supply, servo, or vacuum brake release circuit are leaking.

Test Number 2)  Code EO63 is setting intermittently, ensure vehicle operator is not exceeding set speed by more than 20 MPH. This code is not caused by vacuum leaks or vacuum supply problems. It can only be set by vehicle exceeding set speed by 20 MPH.

Fig 1: ECM Code EO63 Circuit Diagram
G90F21738
Fig 2: ECM Code EO63 Flow Chart
G90B13889