LEMON Manuals: Even more car manuals for everyone: 1960-2025
Home >> Cadillac >> 1991 >> Allante F7/ME9 >> Repair and Diagnosis >> Body & Frame >> Body, Cab Control Systems >> Body Computer Module >> Diagnostic Tests >> DTC EO47, B333-B337: Serial Data Circuit Multiple Intermittent Codes >> Notes
April 5, 2026: LEMON Manuals is launched! Read the announcement.

DTC EO47, B333-B337: Serial Data Circuit Multiple Intermittent Codes: Notes

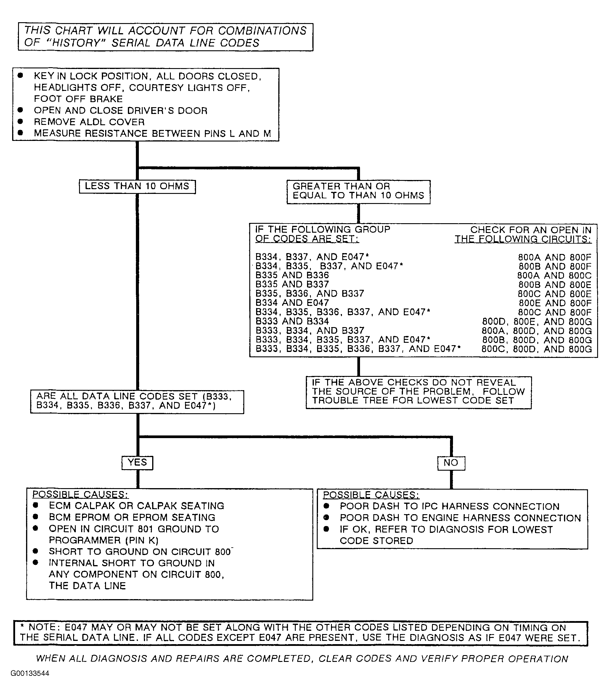
NOTE: For flow chart, see Figure . For circuit identification, see Figure .