LEMON Manuals: Even more car manuals for everyone: 1960-2025
Home >> Cadillac >> 1991 >> Seville Base >> Repair and Diagnosis (Single Page) >> Accessories & Equipment >> Cruise Control Systems >> Input Test >> Input Test EI72 ISC Throttle Switch Test
April 5, 2026: LEMON Manuals is launched! Read the announcement.

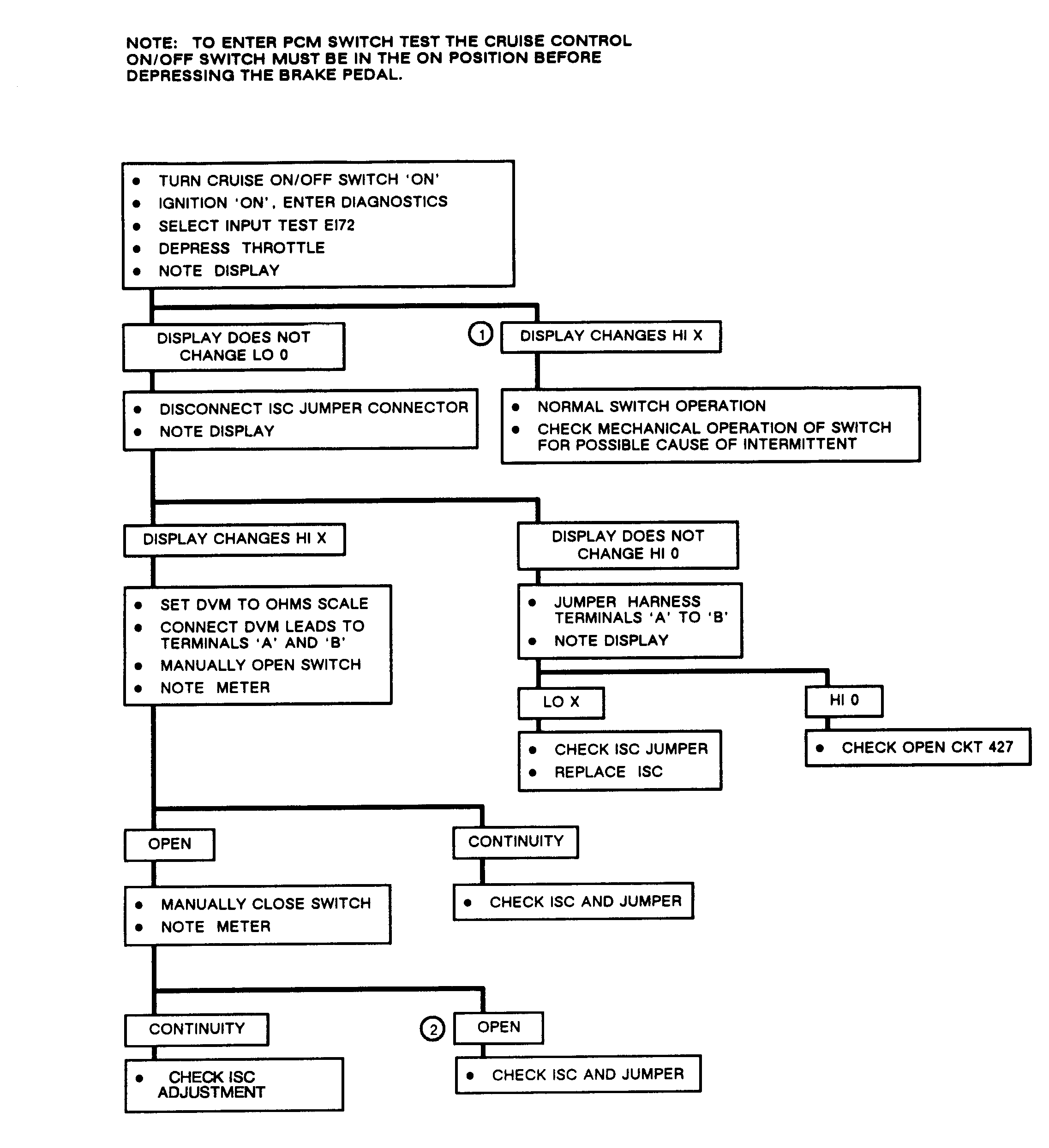
Input Test EI72 ISC Throttle Switch Test

Test Conditions

After diagnostic trouble codes have been displayed, Driver Information Center (DIC) will display ECM?. Depress HI blower button. Display will change to read ECM DATA?. Depress LO blower button. Display will change to read ECM INPUTS?.

Depress HI blower button. Display will change to read C/C BRAKE EI70. Depress LO blower button twice, display will change to read LO 0 THROTTLE EI72. When accelerator pedal is depressed and released, display will change to read HI X. Change from 0 to X indicates that test has been successfully completed.

Action

This test detects open and close of throttle nose switch of Idle Speed Control (ISC) at terminal A7 of PCM.

NOTE: Test numbers refer to test numbers on diagnostic chart.
  1. HI indicates that throttle nose switch is open. LO indicates that switch is closed.
  2. Throttle body must be removed to disconnect ISC jumper from ISC. An ohmmeter should be used to inspect jumper for opens and shorts. ISC throttle switch can also be checked with an ohmmeter for switch operation.
Fig 1: Input Test EI72 ISC Throttle Switch Test Schematic (1991)
G92B04249Courtesy of GENERAL MOTORS CORP.
Fig 2: Input Test EI72 ISC Throttle Switch Test Schematic (1992)
G92C13658Courtesy of GENERAL MOTORS CORP.
Fig 3: Input Test EI72 ISC Throttle Switch Test Flow Chart (All)
G92D13659Courtesy of GENERAL MOTORS CORP.