LEMON Manuals: Even more car manuals for everyone: 1960-2025
Home >> Cadillac >> 1991 >> Seville V8-300 4.9L >> Repair and Diagnosis >> Powertrain Management >> Computers and Control Systems >> Testing and Inspection >> Component Tests and General Diagnostics >> Input Switch Test Failure Diagnostic Tests >> Input EI70 - Cruise Control Brake Switch
April 5, 2026: LEMON Manuals is launched! Read the announcement.

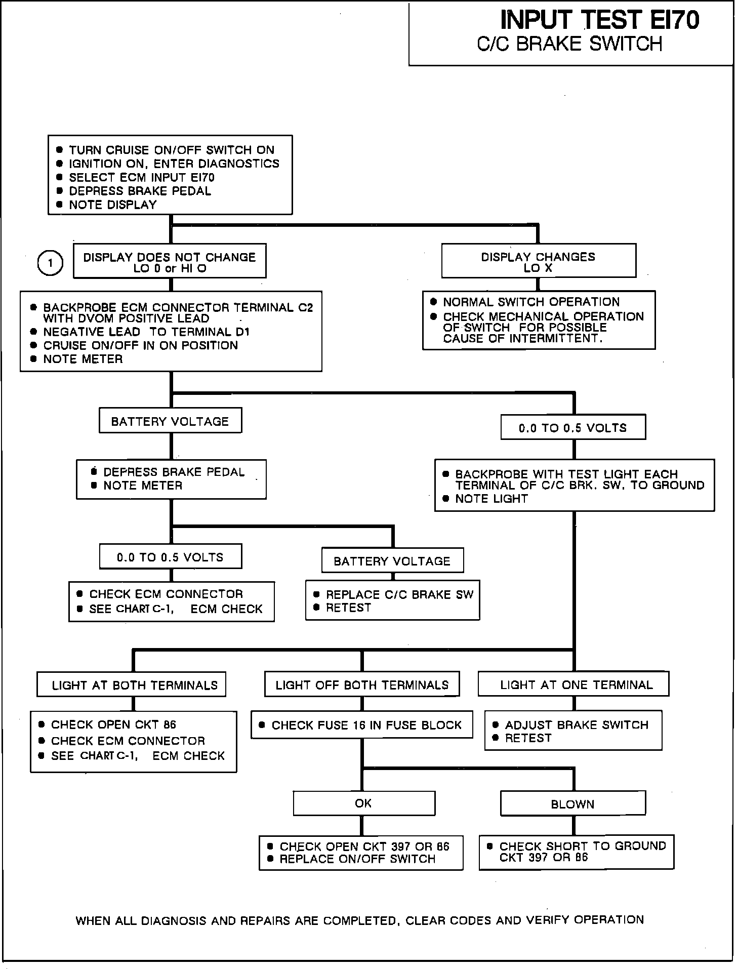
Input EI70 - Cruise Control Brake Switch

Input Test EI70:




Cruise Control Circuit:







DISPLAY CONFIGURATION:

After the diagnostic trouble codes have been displayed the Driver Information Center (DIC) will display "ECM?". Depress the HI blower button. The display will change to read PCM/ECM data. Depress the LO blower button. The display will change to read PCM/ECM inputs. Place the cruise control ON/OFF switch in the ON position. Depress the HI blower button. The display will change to read HI 0 C/C brake EI70. When the brake pedal is depressed and released the display will change to read HI X. The change from 0 to X indicates that the test has been successfully completed.

TEST DESCRIPTION:

This test detects the open and close of the cruise control brake switch at terminal C2 of the PCM/ECM.

NOTES ON FAULT TREE:

1. LO indicates that the cruise control brake switch is open. HI indicates that the switch is closed.