LEMON Manuals: Even more car manuals for everyone: 1960-2025
Home >> Cadillac >> 1992 >> Allante F7/ME9 >> Repair and Diagnosis >> Engine Performance >> System >> Engine Controls - Self-Diagnostics >> Diagnostic Tests >> Pcm Input EI72: ISC Throttle Switch >> Test Description
April 5, 2026: LEMON Manuals is launched! Read the announcement.

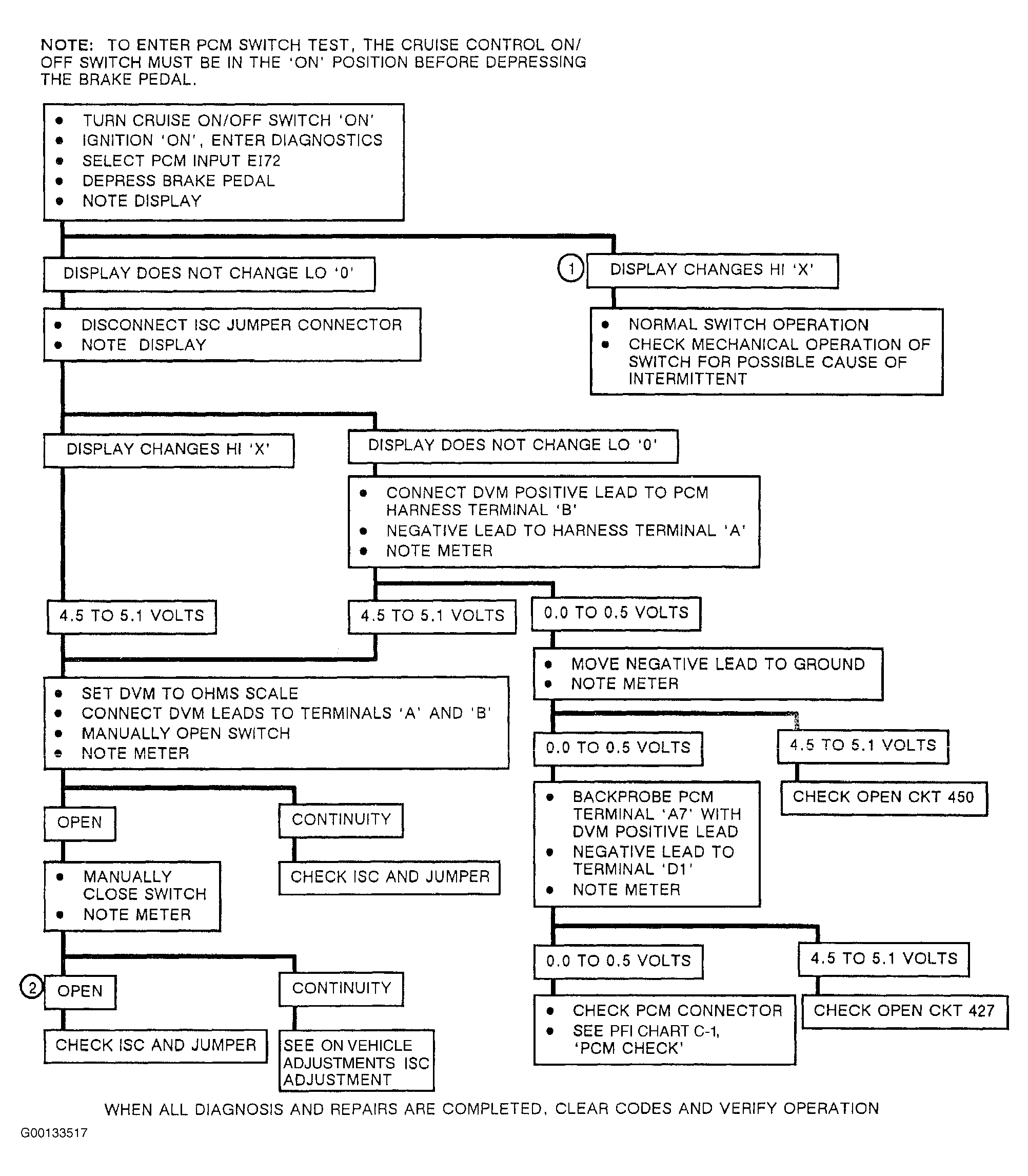
Test Description

This test detects the open and close of the nose switch of the Idle Speed Control (ISC) at terminal A7 of the PCM.

NOTE: The following step numbers refer to circled numbers on diagnostic chart. See Fig 1 . For circuit identification, see Figure .
  1. HI indicate that throttle nose switch is open. LO indicates that the switch is closed.
  2. The throttle body must be removed to disconnect the ISC jumper from the ISC. An Ohmmeter should be used to inspect the jumper for opens and shorts. The ISC throttle switch can also be checked with an Ohmmeter for switch operation.
Fig 1: PCM Input EI72: ISC Throttle Switch Flow Chart
G00133517Courtesy of GENERAL MOTORS CORP.