LEMON Manuals: Even more car manuals for everyone: 1960-2025
Home >> Cadillac >> 1992 >> Seville Base >> Repair and Diagnosis (Single Page) >> Engine Performance >> System >> Engine Controls - Tests W/Codes >> Pcm Code Charts >> Pcm Code E040, Open PSPS Circuit >> Note On Intermittents
April 5, 2026: LEMON Manuals is launched! Read the announcement.

Note On Intermittents

Manipulate power steering pressure switch connector with engine running. If intermittent is created, code will set. Disconnect and reconnect power steering connector to ensure it is properly latched.

Fig 1: PCM Code E040, Schematic, Opens PSPS Circuit
G92A05045Courtesy of GENERAL MOTORS CORP.
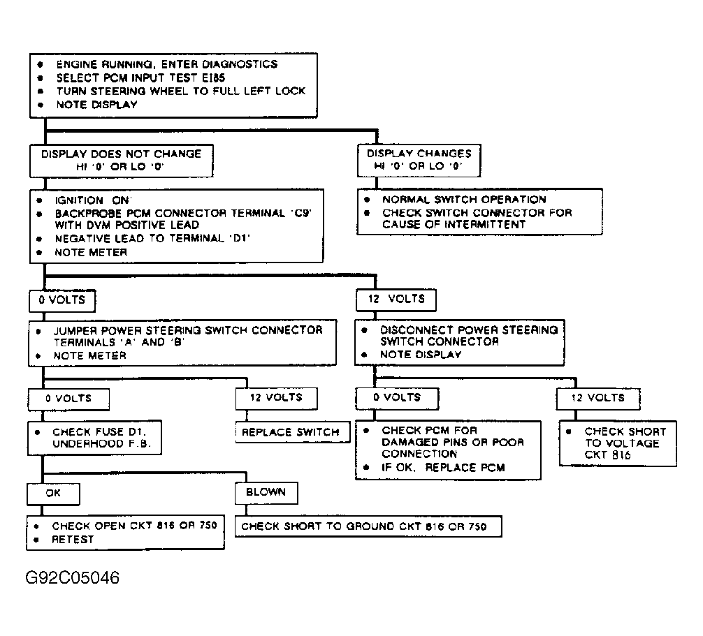
Fig 2: PCM Code E040, Flow Chart, Opens PSPS Circuit
G92C05046Courtesy of GENERAL MOTORS CORP.
Fig 3: PCM Code E040
GB0011194