LEMON Manuals: Even more car manuals for everyone: 1960-2025
Home >> Cadillac >> 1992 >> Seville Base >> Repair and Diagnosis (Single Page) >> Engine Performance >> System >> Engine Controls - Tests W/Codes >> Pcm Code Charts >> Pcm Code E042, Left Oxygen (O2) Sensor Lean Signal >> Note On Intermittents
April 5, 2026: LEMON Manuals is launched! Read the announcement.

Note On Intermittents

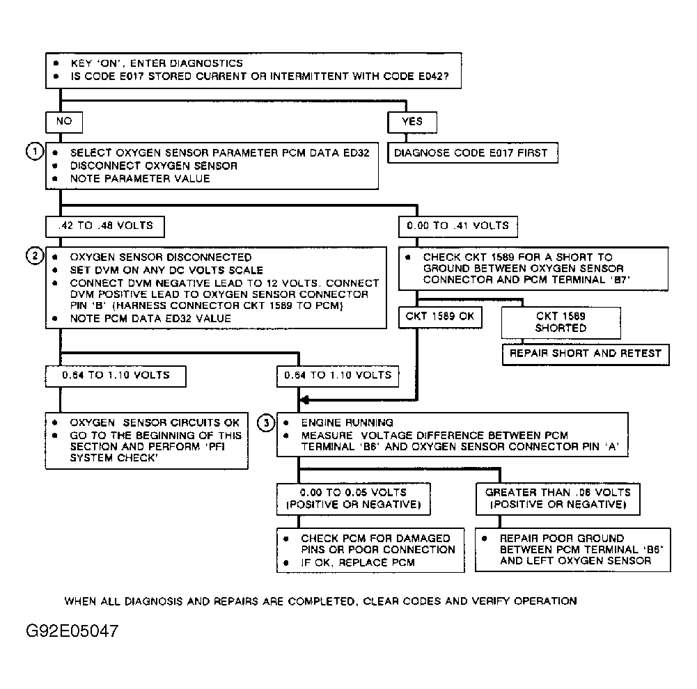
With engine running, manipulate O2 sensor harness, PCM wiring and connectors while observing PCM parameter ED32. If fault is induced, ED32 will jump to less than .37 volt and ECON status light will go off. Manipulate circuit No. 413 ground to engine, and look for a loose ground eyelet or ground eyelet installed at wrong location. If lean engine operation is suspected, refer to TESTS W/O CODES article in this Section. If O2 sensor circuit appears to be okay, go to PFI CHART A-6, OXYGEN (O2) SENSOR TEST  .

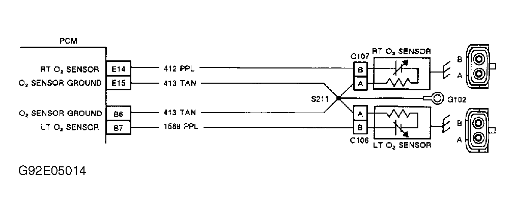
Fig 1: PCM Code E042, Schematic, Left Oxygen (O2) Sensor Lean Signal
G92E05014
Fig 2: PCM Code E042, Flow Chart, Left Oxygen (O2) Sensor Lean Signal
G92E05047
Fig 3: PCM Code E042
GB0011196