LEMON Manuals: Even more car manuals for everyone: 1960-2025
Home >> Cadillac >> 1992 >> Seville Base >> Repair and Diagnosis >> Accessories & Equipment >> Cruise Control Systems >> Input Test >> Input Test EI71 VCC Brake Switch Test
April 5, 2026: LEMON Manuals is launched! Read the announcement.

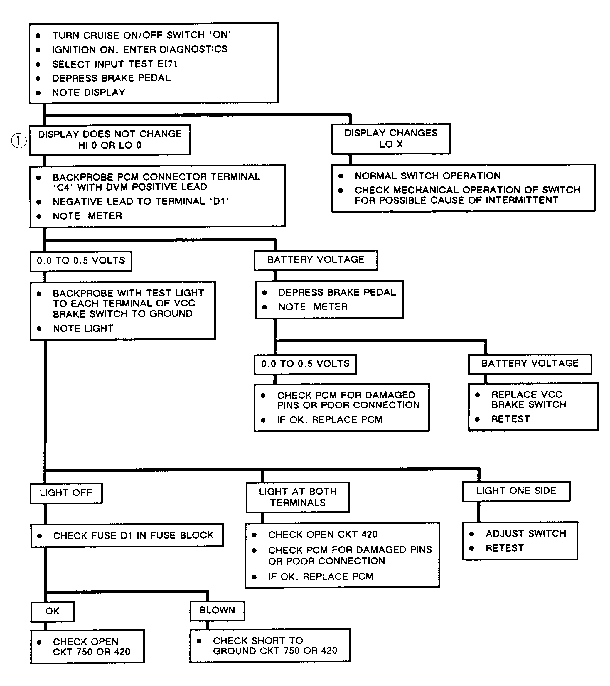
Input Test EI71 VCC Brake Switch Test

Test Conditions

After diagnostic trouble codes have been displayed, Driver Information Center (DIC) will display ECM?. Depress HI blower button. Display will change to read ECM DATA?. Depress LO blower button. Display will change to read ECM INPUTS?.

Depress HI blower button. Display will change to read C/C BRAKE EI70. Depress LO blower button, display will change to read HI 0 VCC BRAKE EI71. When brake pedal is depressed, display will change to read LO X. Change from 0 to X indicates that test has been successfully completed.

Action

This test detects open and close of VCC brake switch at terminal C4 of PCM.

NOTE: Test numbers refer to test numbers on diagnostic chart.
  1. LO indicates that VCC brake switch is open. HI indicates that brake switch is closed.
Fig 1: Input Test EI71 VCC Brake Switch Test Schematic (1991)
G92J04248Courtesy of GENERAL MOTORS CORP.
Fig 2: Input Test EI71 VCC Brake Switch Test Schematic (1992)
G92I13654Courtesy of GENERAL MOTORS CORP.
Fig 3: Input Test EI71 VCC Brake Switch Test Flow Chart (All)
G92J13655Courtesy of GENERAL MOTORS CORP.