LEMON Manuals: Even more car manuals for everyone: 1960-2025
Home >> Cadillac >> 1992 >> Seville Base >> Repair and Diagnosis >> Brakes >> Traction Control >> Anti-Lock Brake System >> Diagnosis & Testing >> Anti-Lock Brake System Functional Check
April 5, 2026: LEMON Manuals is launched! Read the announcement.

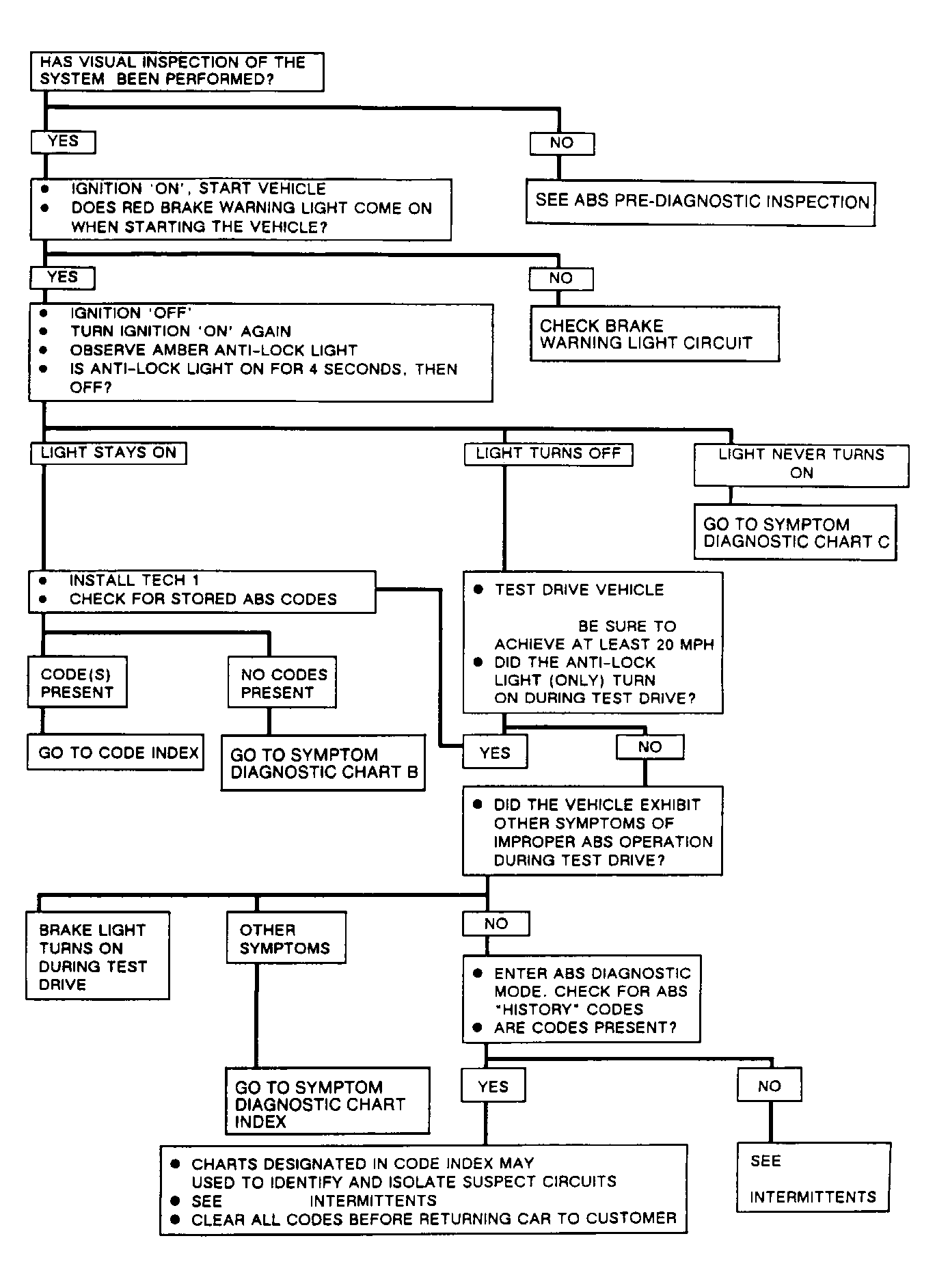
Anti-Lock Brake System Functional Check

Fig 1: Anti-Lock Brake System Functional Check
G90H08274Courtesy of GENERAL MOTORS CORP.