LEMON Manuals: Even more car manuals for everyone: 1960-2025
Home >> Cadillac >> 1992 >> Seville Base >> Repair and Diagnosis >> Engine Performance >> System >> Engine Controls - Tests W/Codes >> PFI Charts >> PFI Chart A-6, Oxygen (O2) Sensor Test
April 5, 2026: LEMON Manuals is launched! Read the announcement.

PFI Chart A-6, Oxygen (O2) Sensor Test

PCM provides a .45-volt reference to O2 sensor. When warm, a properly operating O2 sensor will drive .45-volt reference lower (less than .45 volt) to indicate lean mixture and higher (more than .45 volt) to indicate rich mixture.

O2 sensor must be able to generate a counter voltage 1.5 volts greater than .45-volt reference to cause PCM to register a cross count of rich to lean or lean to rich. O2 sensor must generate cross counts to enable system to go to "closed loop" operation. O2 sensor test checks if PCM is receiving voltage signals of sufficient range from sensor to generate a cross count.

NOTE: Test numbers refer to numbers on diagnostic chart.
  1. PCM trouble Codes EO13, EO17, EO42, EO44 and EO45 are designed to detect a sensor fault. Slow reaction time of sensor may cause a driveability problem. PCM data ED32 and ED33 will display O2 sensor voltage. With engine at normal operating temperature, O2 sensor voltage should be constantly changing. A fixed voltage at zero volts indicates a short circuit No. 412 for right O2 sensor and circuit No. 1589 for left O2 sensor. A fixed voltage between .42 and .48 volt indicates an open in circuits No. 412 or 413 for right O2 sensor and circuits No. 413 or 1589 for left O2 sensor.
  2. If system cannot go to "closed loop" operation, neither O2 sensor is functioning.
Fig 1: PFI Chart A-6, Schematic, Oxygen (O2) Sensor Test
G92E05014Courtesy of GENERAL MOTORS CORP.
Fig 2: PFI Chart A-6, Oxygen Sensor Operating Range Chart
G91C07540Courtesy of GENERAL MOTORS CORP.
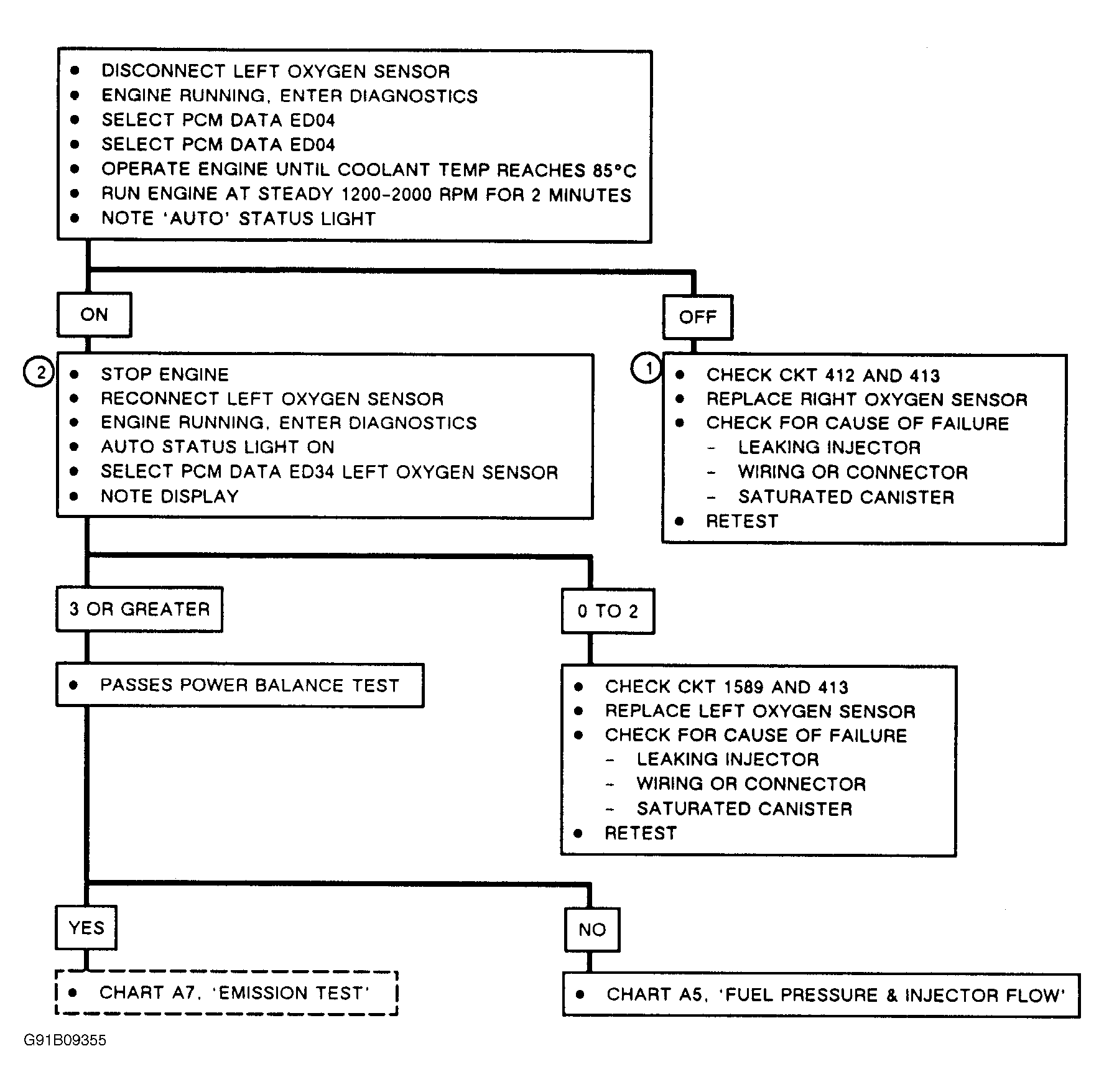
Fig 3: PFI Flow Chart A-6, Oxygen (O2) Sensor Test
G91B09355Courtesy of GENERAL MOTORS CORP.
Fig 4: PFI Flow Chart A-6
GB0011163