LEMON Manuals: Even more car manuals for everyone: 1960-2025
Home >> Cadillac >> 1992 >> Seville Base >> Repair and Diagnosis >> Engine Performance >> System >> Engine Controls - Tests W/Codes >> Pcm Code Charts >> Pcm Code E061, Cruise Control Vent Solenoid Circuit >> Note On Intermittents
April 5, 2026: LEMON Manuals is launched! Read the announcement.

Note On Intermittents

If an intermittent PCM Code E061 is being set, slowly manipulate wiring while in output function EO08. Listen for solenoid to cycle or stop cycling. Function cycles solenoid on and off every 3 seconds.

Fig 1: PCM Code E061, Schematic, Cruise Control Vent Solenoid Circuit
G92G05053
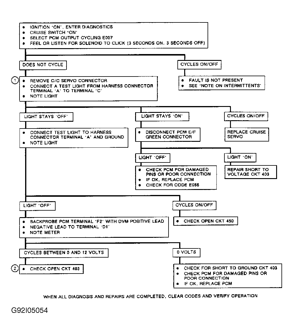
Fig 2: PCM Code E061, Flow Chart, Cruise Control Vent Solenoid Circuit
G92I05054
Fig 3: PCM Code E061
GB0011206