LEMON Manuals: Even more car manuals for everyone: 1960-2025
Home >> Cadillac >> 1993 >> Seville Base >> Repair and Diagnosis (Single Page) >> Brakes >> Traction Control >> Anti-Lock Brake System & TCS - BOSCH 2U >> Abs/TCS Functional Check Charts >> Functional Check Chart 1
April 5, 2026: LEMON Manuals is launched! Read the announcement.

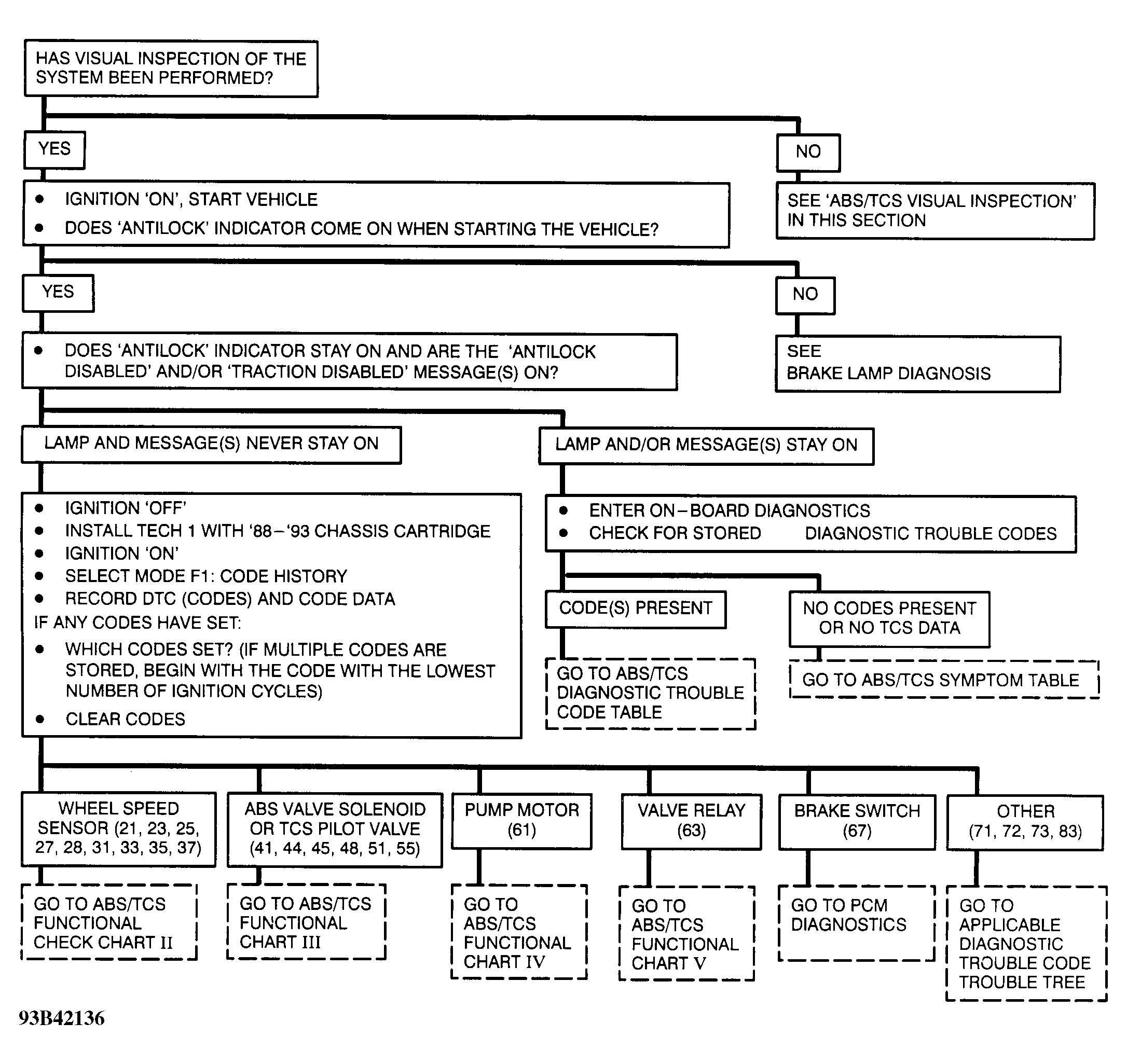
Functional Check Chart 1

Fig 1: Chart 1 - Diagnostic Flowchart
G93B42136Courtesy of GENERAL MOTORS CORP.