LEMON Manuals: Even more car manuals for everyone: 1960-2025
Home >> Cadillac >> 1993 >> Seville Base >> Repair and Diagnosis >> Engine Performance >> System >> Engine Controls - Tests W/Codes - Pcm >> Pcm Code Charts >> Pcm Code P065 - Cruise Control Servo Position Sensor Failure >> Action
April 5, 2026: LEMON Manuals is launched! Read the announcement.

Pcm Code P065 - Cruise Control Servo Position Sensor Failure: Action

PCM disables cruise control.

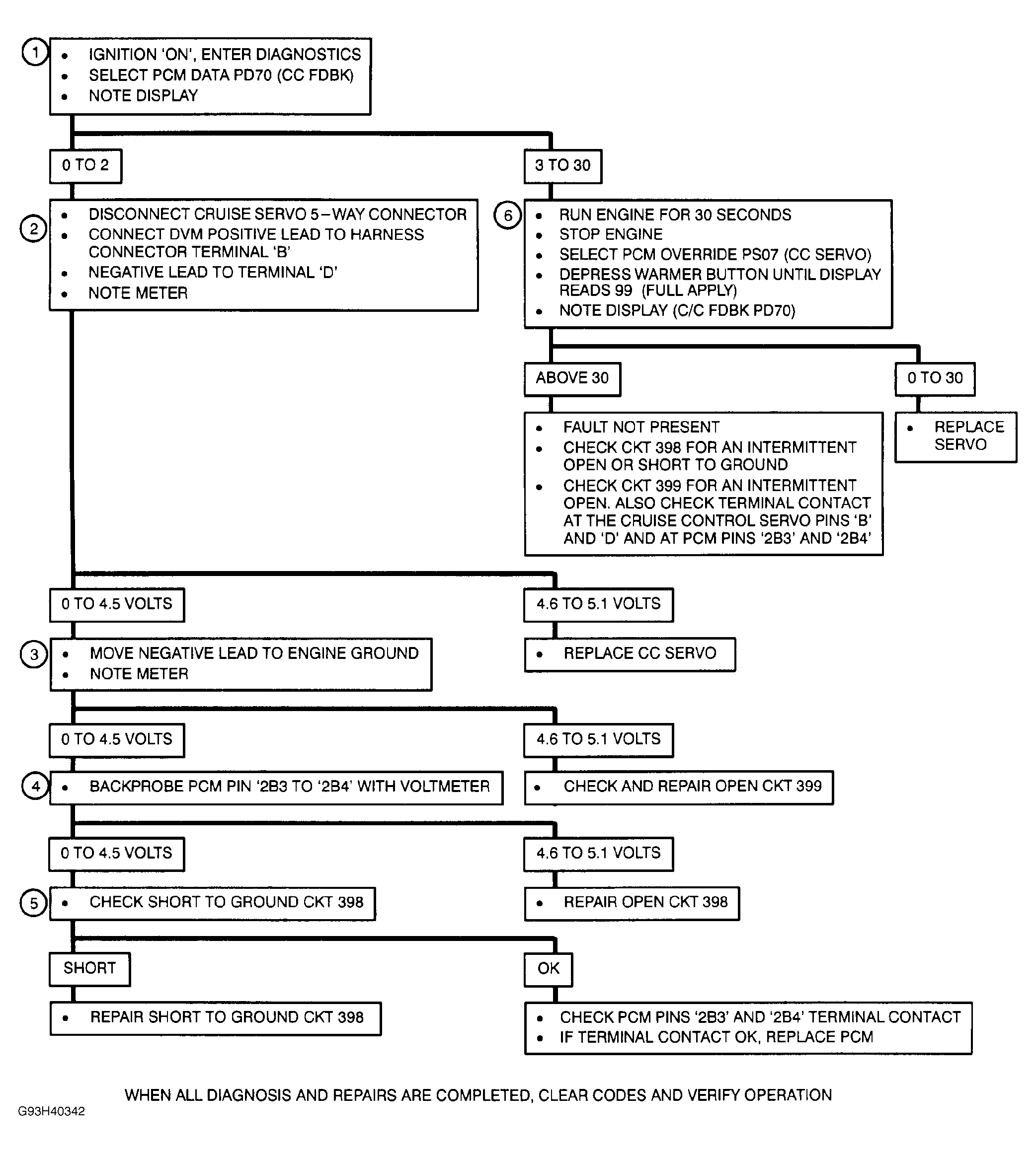
NOTE: Test numbers refer to numbers on diagnostic chart.
  1. Checks if cruise control feedback is a value that it should never be, even with servo fully released.
  2. Checks PCM and circuit to cruise control servo are okay. Voltage reading should be 4.6-5.1 volts.
  3. Checks circuit No. 399 for an open.
  4. Checks circuit No. 398 for an open.
  5. Checks circuit No. 398 for short to ground. If wire is okay, PCM is open internally.
  6. Checks if cruise control servo is operating normally. If feedback is greater than 30, servo is operating correctly.
Fig 1: PCM Code P065 Schematic - Cruise Control Servo Position Sensor Failure
G93B40338Courtesy of GENERAL MOTORS CORP.
Fig 2: PCM Code P065 Flow Chart - Cruise Control Servo Position Sensor Failure
G93H40342Courtesy of GENERAL MOTORS CORP.