LEMON Manuals: Even more car manuals for everyone: 1960-2025
Home >> Cadillac >> 1993 >> Sixty Special >> Repair and Diagnosis (Single Page) >> Engine Performance >> System >> Engine Controls - Tests W/Codes - Pcm/BCM >> Switch Test Code Charts >> Switch Test E.7.2 - ISC Throttle Switch
April 5, 2026: LEMON Manuals is launched! Read the announcement.

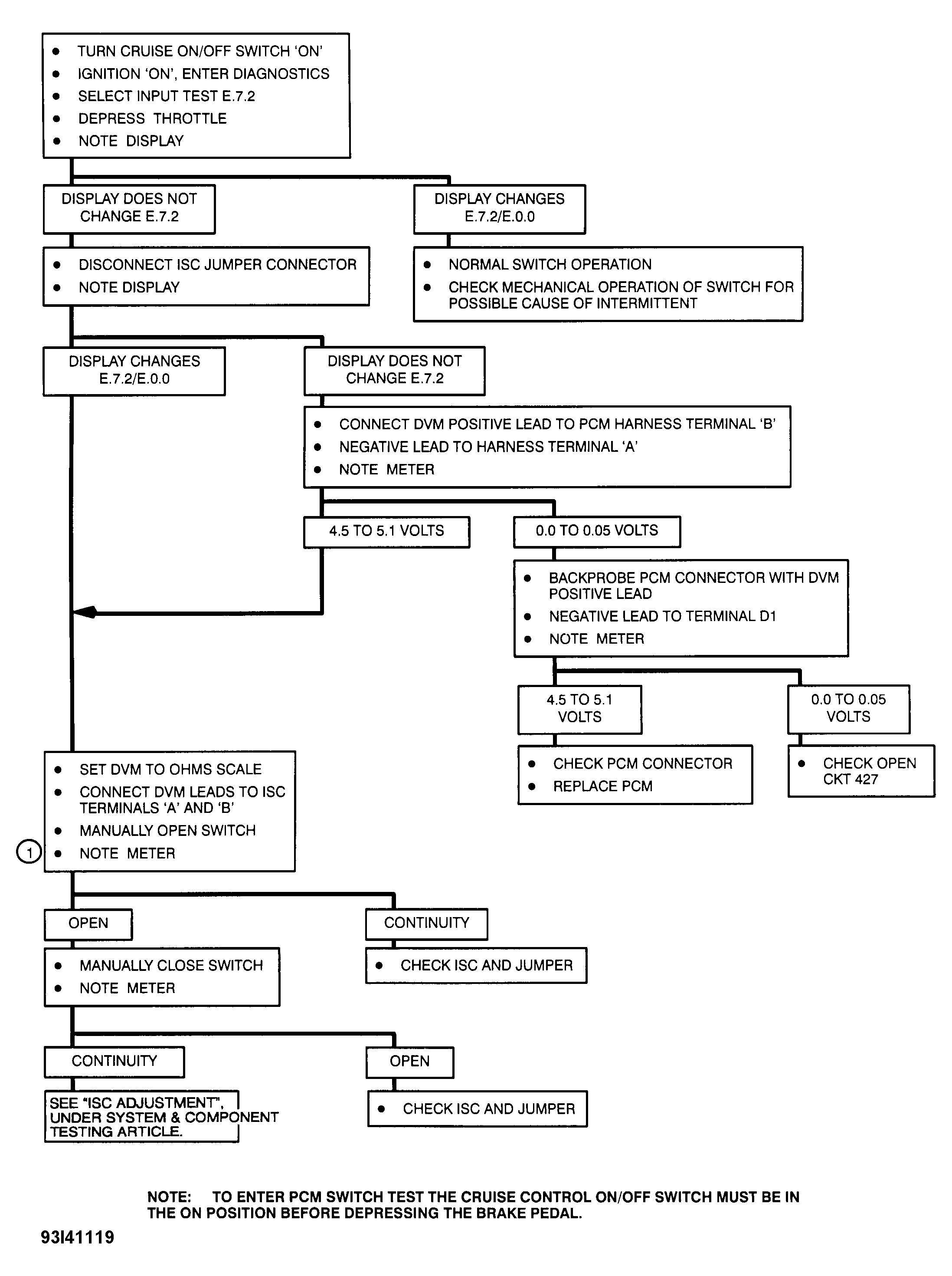
Switch Test E.7.2 - ISC Throttle Switch

After .7.0 is displayed on FDC, PCM switch test can be initiated by depressing brake pedal. When brake pedal has been depressed, FDC will display E.7.0. At this time the HI and LO buttons on ECC panel can be used to select specific switch test.

When a specific test has been selected and that switch activated, display will alternately display code for that test and E.0.0 to confirm that switch is working.

This test detects opening and closing of ISC nose switch at PCM terminal A7.

NOTE: Test numbers refer to numbers on diagnostic chart.
  1. Throttle body must be removed to disconnect ISC jumper from ISC. Using DVOM, check jumpers for open or shorted circuit and ISC switch for continuity.
Fig 1: Switch Test E.7.2 Schematic - ISC Throttle Switch
G93D41072Courtesy of GENERAL MOTORS CORP.
Fig 2: Switch Test E.7.2 Flow Chart - ISC Throttle Switch
G93I41119Courtesy of GENERAL MOTORS CORP.