LEMON Manuals: Even more car manuals for everyone: 1960-2025
Home >> Cadillac >> 1993 >> Sixty Special >> Repair and Diagnosis >> Engine Performance >> System >> Engine Controls - Tests W/Codes - Pcm/BCM >> Pcm Trouble Code Diagnosis >> Pcm Code E27 - Open Throttle Switch Circuit >> Note On Intermittents
April 5, 2026: LEMON Manuals is launched! Read the announcement.

Note On Intermittents

Ensure ISC plunger is depressed when throttle linkage contacts stop screw. Check ISC jumper connector, engine-to-dash connector and PCM connector for improperly crimped or backed-out terminals.

Fig 1: PCM Code E27 Schematic - Open Throttle Switch Ckt.
G93D41072Courtesy of GENERAL MOTORS CORP.
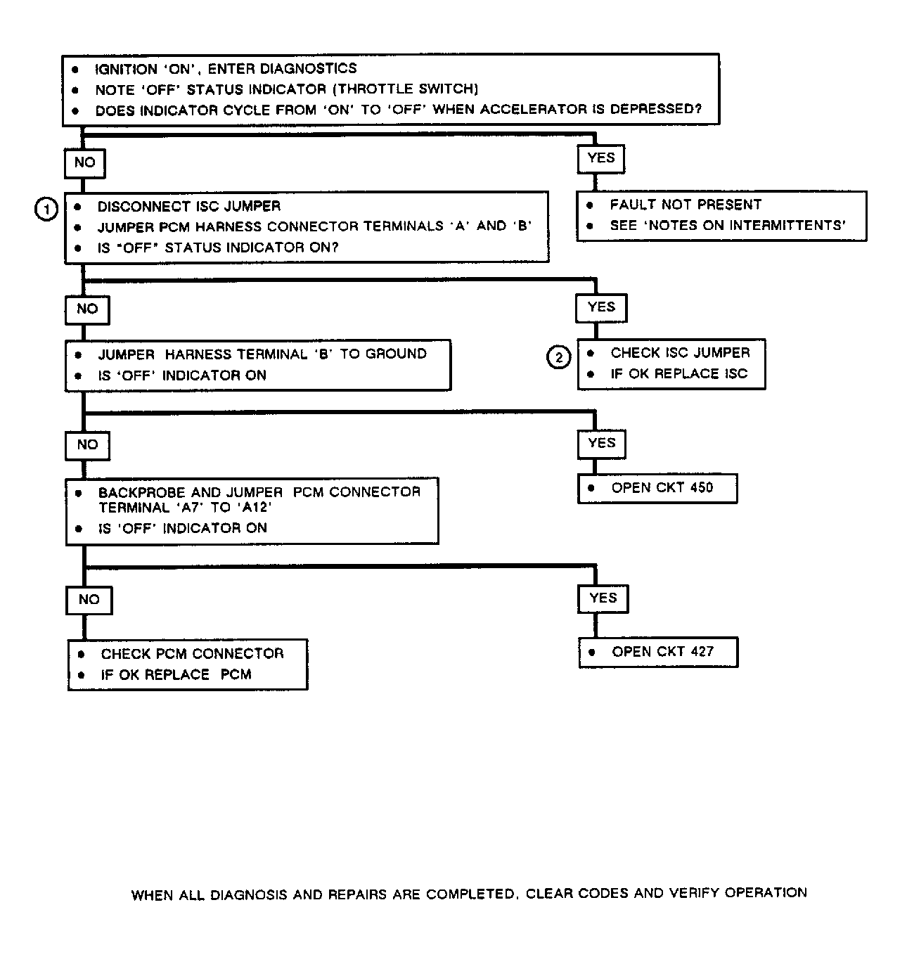
Fig 2: PCM Code E27 Flow Chart - Open Throttle Switch Ckt.
G91D07710Courtesy of GENERAL MOTORS CORP.