LEMON Manuals: Even more car manuals for everyone: 1960-2025
Home >> Cadillac >> 1993 >> Sixty Special >> Repair and Diagnosis >> Engine Performance >> System >> Engine Controls - Tests W/Codes - Pcm/BCM >> Switch Test Code Charts >> Switch Test E.7.6 - Cruise Set/Coast Switch
April 5, 2026: LEMON Manuals is launched! Read the announcement.

Switch Test E.7.6 - Cruise Set/Coast Switch

After .7.0 is displayed on FDC, PCM switch test can be initiated by depressing brake pedal. When brake pedal has been depressed, FDC will display E.7.0. At this time the HI and LO buttons on ECC panel can be used to select specific switch test.

When a specific test has been selected and that switch activated, display will alternately display code for that test and E.0.0 to confirm that switch is working.

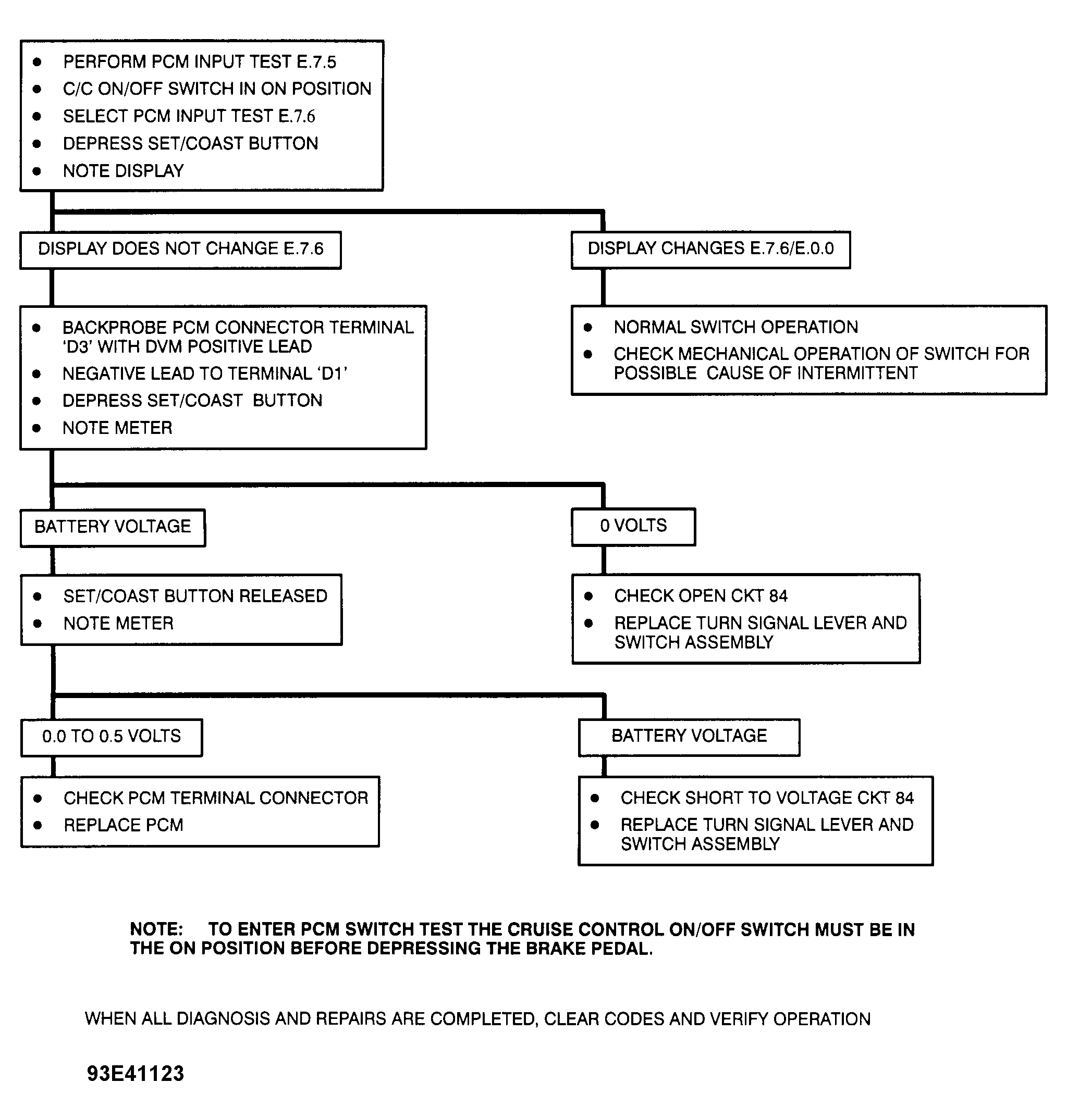
This test detects opening and closing of SET/COAST switch at PCM terminal D8. Ensure cruise switch is in ON position when performing this test. Switch Test E.7.5 should be performed before this test, to ensure power to SET/COAST switch.

Fig 1: Switch Test E.7.6 Schematic - Cruise SET/COAST Switch
G93B41104Courtesy of GENERAL MOTORS CORP.
Fig 2: Switch Test E.7.6 Flow Chart - Cruise SET/COAST Switch
G93E41123Courtesy of GENERAL MOTORS CORP.