LEMON Manuals: Even more car manuals for everyone: 1960-2025
Home >> Cadillac >> 1993 >> Sixty Special >> Repair and Diagnosis >> Engine Performance >> System >> Engine Controls - Tests W/Codes - Pcm/BCM >> Switch Test Code Charts >> Switch Test E.7.8 - Power Steering Pressure Switch
April 5, 2026: LEMON Manuals is launched! Read the announcement.

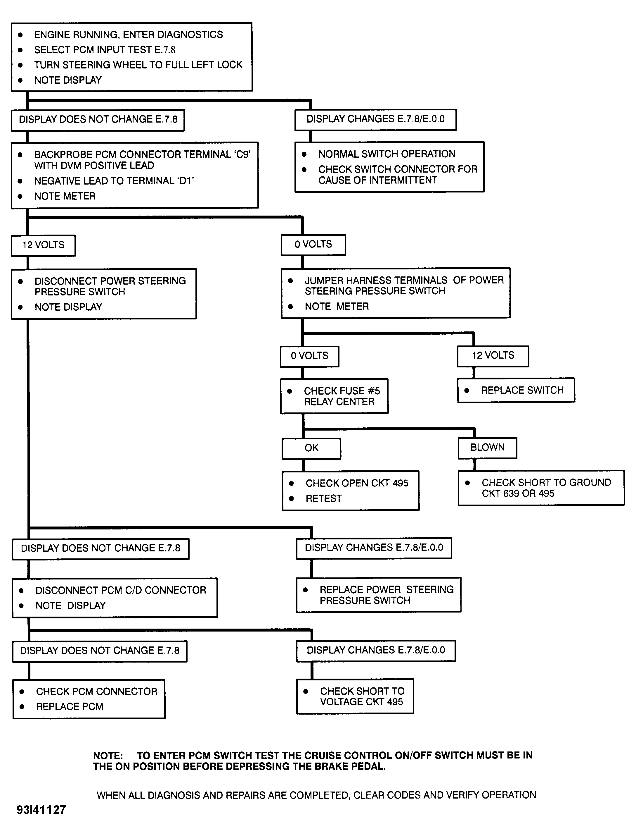
Switch Test E.7.8 - Power Steering Pressure Switch

After .7.0 is displayed on FDC, PCM switch test can be initiated by depressing brake pedal. When brake pedal has been depressed, FDC will display E.7.0. At this time the HI and LO buttons on ECC panel can be used to select specific switch test.

When a specific test has been selected and that switch activated, display will alternately display code for that test and E.0.0 to confirm that switch is working.

This test detects opening and closing of power steering switch at PCM terminal C9. Ensure engine is running and steering wheel is turned to full left when performing this test.

Fig 1: Switch Test E.7.8 Schematic - Power Steering Pressure Switch
G93C41097Courtesy of GENERAL MOTORS CORP.
Fig 2: Switch Test E.7.8 Flow Chart - Power Steering Pressure Switch
G93I41127Courtesy of GENERAL MOTORS CORP.