LEMON Manuals: Even more car manuals for everyone: 1960-2025
Home >> Cadillac >> 1994 >> DeVille Base >> Repair and Diagnosis >> Engine Performance >> System >> Engine Controls - Tests W/Codes - 4.9L >> Pcm Code Charts >> Code P019, Shorted Fuel Pump Circuit >> Note On Intermittents
April 5, 2026: LEMON Manuals is launched! Read the announcement.

Note On Intermittents

Backprobe PCM terminal 3E13 using a voltmeter to ground. Turn ignition on, and observe voltmeter. Voltmeter should indicate battery voltage for 2 seconds and then drop to zero. If voltage reading stays at battery voltage for longer than 2 seconds, check for sticking fuel pump relay contacts. Repeat test several times. Continue backprobing PCM terminal and start and turn off engine. Voltage should immediately drop to zero. If voltage does not immediately drop to zero, check oil pressure switch contacts.

Fig 1: Code P019 Schematic (DeVille)
G94F33238Courtesy of GENERAL MOTORS CORP.
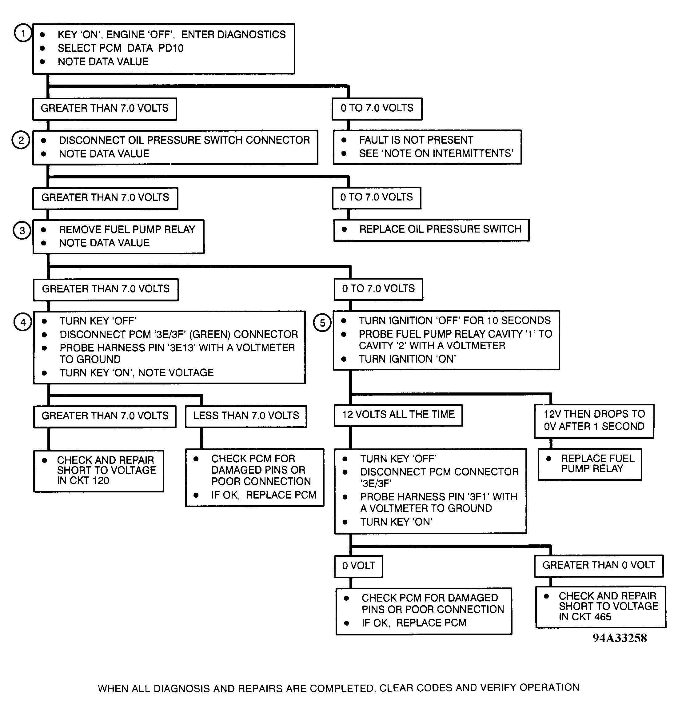
Fig 2: Code P019 Flow Chart (DeVille)
G94A33258Courtesy of GENERAL MOTORS CORP.