LEMON Manuals: Even more car manuals for everyone: 1960-2025
Home >> Cadillac >> 1994 >> DeVille Base >> Repair and Diagnosis >> Engine Performance >> System >> Engine Controls - Tests W/Codes - 4.9L >> Pcm Code Charts >> Code P030, ISC Rpm Out Of Range >> Action
April 5, 2026: LEMON Manuals is launched! Read the announcement.

Code P030, ISC Rpm Out Of Range: Action

PCM turns on MIL.

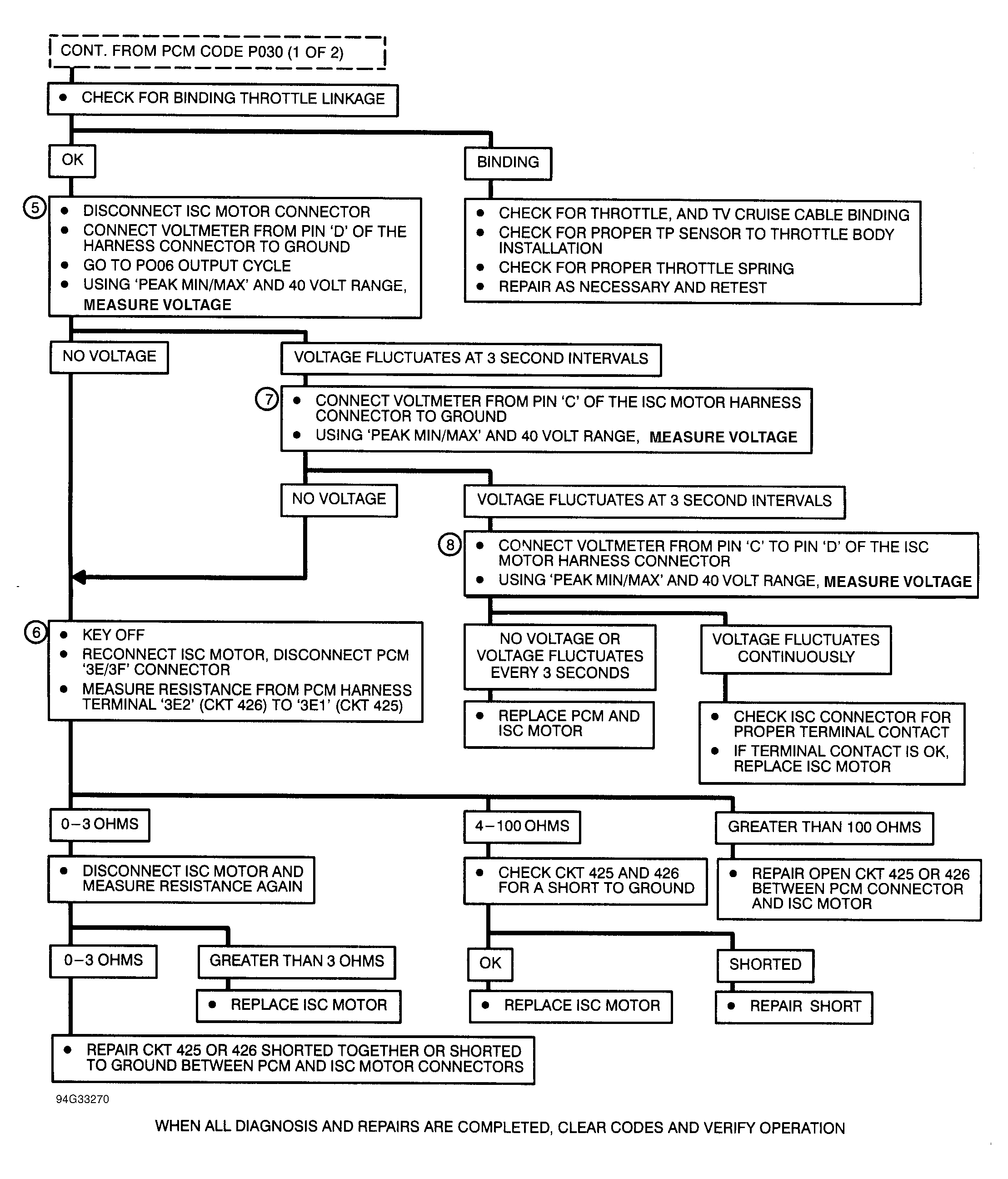
NOTE: Test numbers refer to numbers on diagnostic chart.
  1. This step checks for ISC motor codes that can cause other problems.
  2. This step checks if cruise control is engaged, causing idle problems.
  3. Checks for proper ISC motor operation.
  4. Many engine fuel and emissions system faults may cause unstable idle. If base engine idle is not steady, ISC may not be able to control idle to within 152 RPM of desired idle. For symptom diagnosis, see TESTS W/O CODES article in the ENGINE PERFORMANCE section.
  5. This step checks PCM's ability to control ISC motor by checking for signal present at ISC motor.
  6. This step checks for open or short to ground in circuit No. 425 or 426.
  7. Checks PCM's ability to control ISC motor by checking for signal present at ISC motor.
  8. Checks if ISC motor is receiving signal but not responding correctly. Voltage should fluctuate continuously from negative to positive value.
Fig 1: Code P030 Schematic (DeVille)
G94J33224Courtesy of GENERAL MOTORS CORP.
Fig 2: Code P030 Flow Chart (DeVille - 1 Of 2)
G94D33269Courtesy of GENERAL MOTORS CORP.
Fig 3: Code P030 Flow Chart (DeVille - 2 Of 2)
G94G33270Courtesy of GENERAL MOTORS CORP.