LEMON Manuals: Even more car manuals for everyone: 1960-2025
Home >> Cadillac >> 1994 >> DeVille Base >> Repair and Diagnosis >> Engine Performance >> System >> Engine Controls - Tests W/Codes - 4.9L >> Pcm Code Charts >> Code P034, Map Sensor Signal Too High >> Note On Intermittents
April 5, 2026: LEMON Manuals is launched! Read the announcement.

Note On Intermittents

Code P034 is usually set by a vacuum supply problem to MAP sensor. Apply vacuum to MAP sensor and check for leaks in MAP sensor. Manipulate affected wiring and connectors while observing PCM data PD02. Apply and release vacuum to MAP sensor. If PCM data PD02 immediately jumps high with vacuum applied, failure has been induced. Repair intermittent MAP sensor fault. If wiring and connectors are okay, substitute a known good MAP sensor and retest.

Fig 1: Code P034 Schematic (DeVille)
G94A33233Courtesy of GENERAL MOTORS CORP.
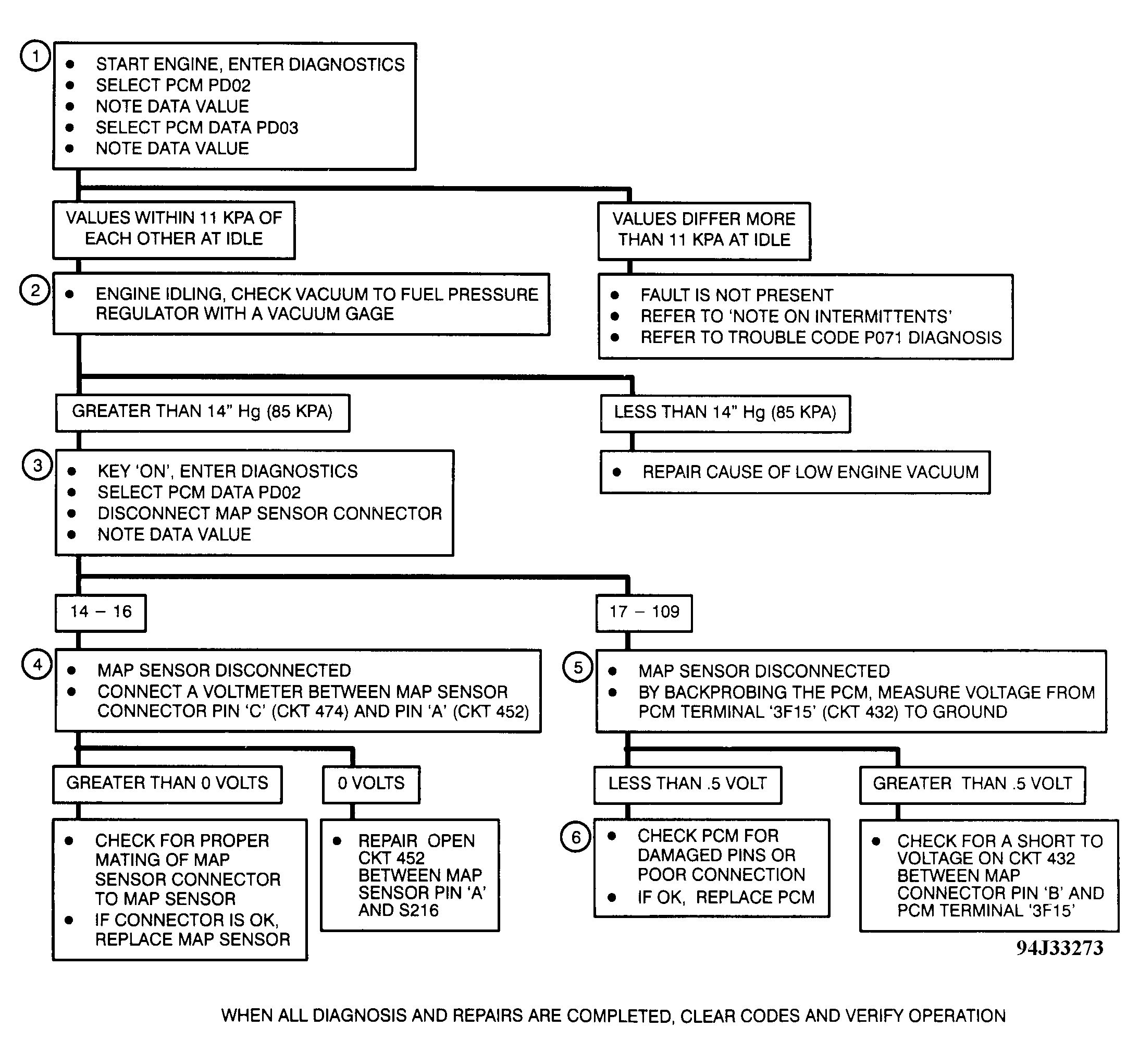
Fig 2: Code P034 Flow Chart (DeVille)
G94J33273Courtesy of GENERAL MOTORS CORP.