LEMON Manuals: Even more car manuals for everyone: 1960-2025
Home >> Cadillac >> 1994 >> DeVille Base >> Repair and Diagnosis >> Engine Performance >> System >> Engine Controls - Tests W/Codes - 4.9L >> Pcm Code Charts >> Code P070, Intermittent Throttle Position (TP) Sensor Signal >> Action
April 5, 2026: LEMON Manuals is launched! Read the announcement.

Code P070, Intermittent Throttle Position (TP) Sensor Signal: Action

None.

NOTE: Test number refers to number on diagnostic chart.
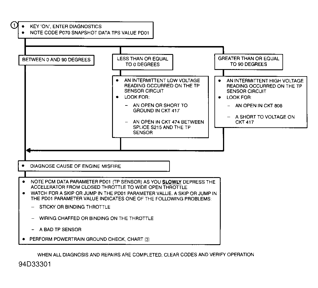
  1. Checking Code P070 snapshot value is used to determine if an intermittent low or high voltage caused code to set. An intermittent low voltage can be caused by an open or short to ground in circuit No. 417, an open in circuit No. 474 or a faulty TP sensor. An intermittent high voltage can be caused by an open in circuit No. 808 or a short to voltage on circuit No. 417.
Fig 1: Code P070 Schematic (DeVille)
G94A33233Courtesy of GENERAL MOTORS CORP.
Fig 2: Code P070 Flow Chart (DeVille)
G94D33301Courtesy of GENERAL MOTORS CORP.