LEMON Manuals: Even more car manuals for everyone: 1960-2025
Home >> Cadillac >> 1994 >> DeVille Base >> Repair and Diagnosis >> Engine Performance >> System >> Engine Controls - Tests W/Codes - 4.9L >> Pcm Code Charts >> Code P091, Transaxle Range Switch Problem >> Note On Intermittents
April 5, 2026: LEMON Manuals is launched! Read the announcement.

Note On Intermittents

PCM code snapshot provides valuable information in diagnosing an intermittent Code P091. If all digits of PD71 and PD72 are "1", check for intermittent loss of ground to transaxle range switch. If intermittent Code P091 occurs when transaxle shift lever is moved, code is most likely caused by misadjustment of shift linkage or range switch, causing transaxle range switch to end up in range between gears.

If PCM Code P090 sets and SERVICE VEHICLE SOON message comes on while driving or when gear selector was not moved, record PD71 and PD72 and compare values to chart. Manipulate related wiring and connectors while observing parameters PD71 and PD72 or scan tool display. If an intermittent is induced, digit corresponding to that circuit will change. If wiring and connectors are okay, substitute a known good transaxle range switch and retest.

Fig 1: Code P091 Schematic (DeVille)
G94E33245Courtesy of GENERAL MOTORS CORP.
Fig 2: Code P091 Flow Chart (DeVille - 1 Of 2)
G94A33308Courtesy of GENERAL MOTORS CORP.
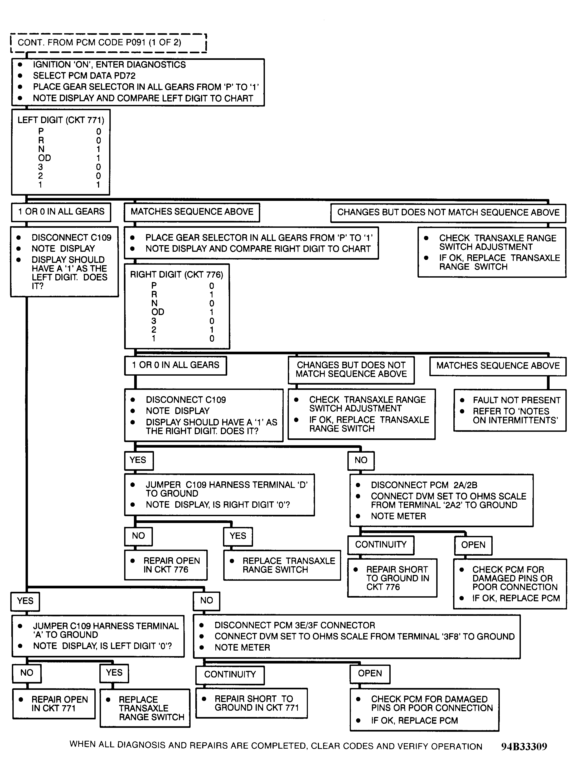
Fig 3: Code P091 Flow Chart (DeVille - 2 Of 2)
G94B33309Courtesy of GENERAL MOTORS CORP.