LEMON Manuals: Even more car manuals for everyone: 1960-2025
Home >> Cadillac >> 1994 >> Eldorado Base >> Repair and Diagnosis (Single Page) >> Engine Performance >> System >> Engine Controls - Tests W/Codes - 4.6L >> Pcm Code Charts >> Code P028, Transaxle Pressure Switch/Circuit Problem >> Action
April 5, 2026: LEMON Manuals is launched! Read the announcement.

Code P028, Transaxle Pressure Switch/Circuit Problem: Action

PCM turns on MIL. PCM will substitute previous transaxle switch value if it is consistent with transaxle range switch. If not, PCM will substitute D4 for transaxle switch value if transaxle range switch indicates Drive/Reverse and Park/Neutral if transaxle range switch indicates Park/Neutral.

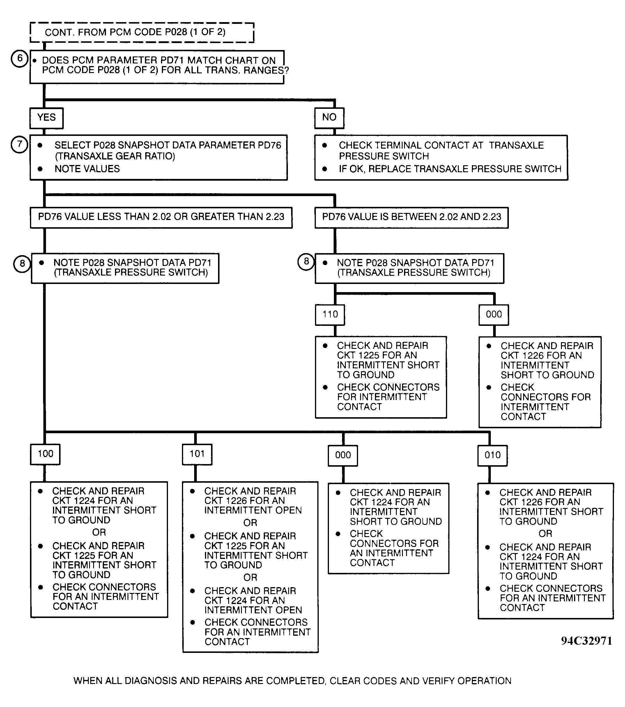
NOTE: Test numbers refer to numbers on diagnostic chart.
  1. Checks PCM data PD71 for failure that is present in all transaxle ranges ("1" is for open circuit and "0" for short to ground).
  2. Determines in which circuit the failure is present.
  3. Checks if PCM is receiving correct voltage changing between zero and 12 volts and not recognizing it.
  4. If voltage remains at zero volts, circuit is shorted to ground. If voltage remains at 12 volts, circuit is open.
  5. Checks if short to ground is internal or external of transaxle.
  6. If PCM data PD71 parameter values are as specified in Code P028 (1 of 2) diagnostic flow chart, problem is intermittent. If parameter values are not as specified, transaxle range switch is giving wrong readings.
  7. Checks if failure occurred while vehicle was in Reverse or not. If gear ratio was 2.02-2.23, vehicle was in Reverse when failure occurred.
  8. Checks Code P028 snapshot data PD71 to determine exactly what transaxle pressure switch value was at when code was set to determine which circuits are open or shorted to ground.
Fig 1: Code P028 Schematic (4.6L)
G94I32969Courtesy of GENERAL MOTORS CORP.
Fig 2: Code P028 Flow Chart (4.6L - 1 Of 2)
G94B32970Courtesy of GENERAL MOTORS CORP.
Fig 3: Code P028 Flow Chart (4.6L - 2 Of 2)
G94C32971Courtesy of GENERAL MOTORS CORP.