LEMON Manuals: Even more car manuals for everyone: 1960-2025
Home >> Cadillac >> 1994 >> Seville STS >> Repair and Diagnosis >> Brakes >> Anti-Lock Brake System & Traction Control System >> Abs/TCS Functional Check Charts
April 5, 2026: LEMON Manuals is launched! Read the announcement.

Abs/TCS Functional Check Charts

Fig 1: ABS/TCS FUNCTIONAL CHECK CHARTS #1
G94C32369Courtesy of GENERAL MOTORS CORP.
Fig 2: ABS/TCS FUNCTIONAL CHECK CHARTS #2
G94F32370Courtesy of GENERAL MOTORS CORP.
Fig 3: ABS/TCS FUNCTIONAL CHECK CHARTS #3
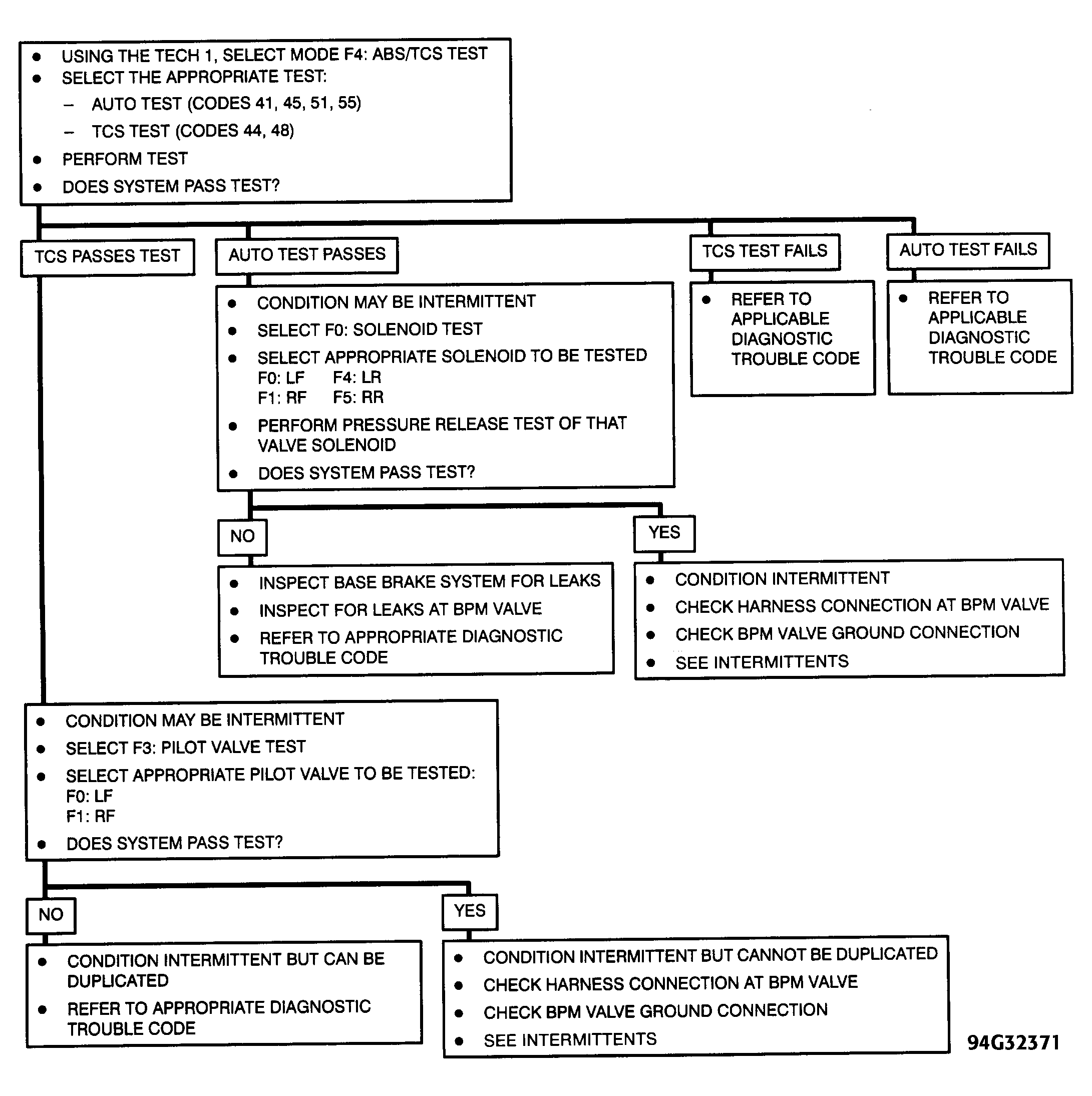
G94G32371Courtesy of GENERAL MOTORS CORP.
Fig 4: ABS/TCS FUNCTIONAL CHECK CHARTS #4
G94H32372Courtesy of GENERAL MOTORS CORP.
Fig 5: ABS/TCS FUNCTIONAL CHECK CHARTS #5
G94I32373Courtesy of GENERAL MOTORS CORP.