LEMON Manuals: Even more car manuals for everyone: 1960-2025
Home >> Cadillac >> 1995 >> DeVille Base >> Repair and Diagnosis >> Engine Performance >> System >> Engine Controls - Tests W/Codes - 4.9L >> Pcm Code Charts >> Code P020, Open Fuel Pump Circuit >> Note On Intermittents
April 5, 2026: LEMON Manuals is launched! Read the announcement.

Note On Intermittents

If Code P020 is stored as history, disconnect oil pressure switch, start engine and allow to idle. Manipulate affected wiring and check relay for proper installation into socket. If fault is induced, engine will stall and Code P020 will set. If Code P020 sets without engine stall, cause is an intermittent open in circuit No. 120 between PCM terminal 3E13 and fuel pump relay terminal No. 3.



If fuel pump circuit is grounded, fuse will blow and Code P020 will set. Replace fuse, start engine and allow to idle. Manipulate affected wiring and connectors. If fault occurs, fuse will blow and engine will stall.

Fig 1: Code P020 Schematic, Open Fuel Pump Circuit
G94F33238Courtesy of GENERAL MOTORS CORP.
Fig 2: Code P020 Diagnostic Flow Chart - 1 Of 3, Open Fuel Pump Ckt.
G94B33259Courtesy of GENERAL MOTORS CORP.
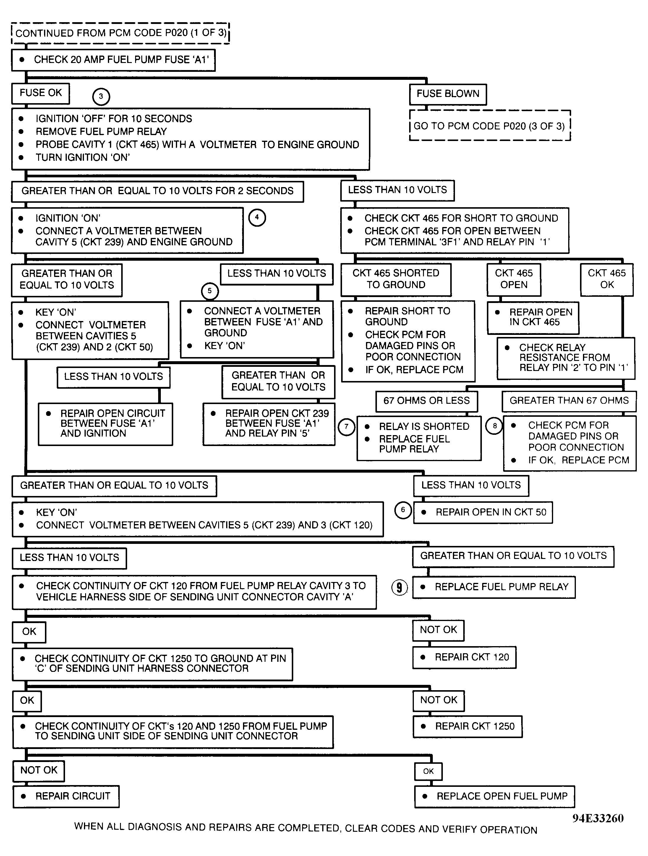
Fig 3: Code P020 Diagnostic Flow Chart - 2 Of 3, Open Fuel Pump Ckt.
G94E33260Courtesy of GENERAL MOTORS CORP.
Fig 4: Code P020 Diagnostic Flow Chart - 3 Of 3, Open Fuel Pump Ckt.
G94F33261Courtesy of GENERAL MOTORS CORP.