LEMON Manuals: Even more car manuals for everyone: 1960-2025
Home >> Cadillac >> 1995 >> Eldorado Base >> Repair and Diagnosis (Single Page) >> Steering >> Power Steering >> Steering System - Variable Effort >> Diagnostic Charts >> Code S031, Speed-Sensitive Steering Short To Ground >> Notes On Flow Chart
April 5, 2026: LEMON Manuals is launched! Read the announcement.

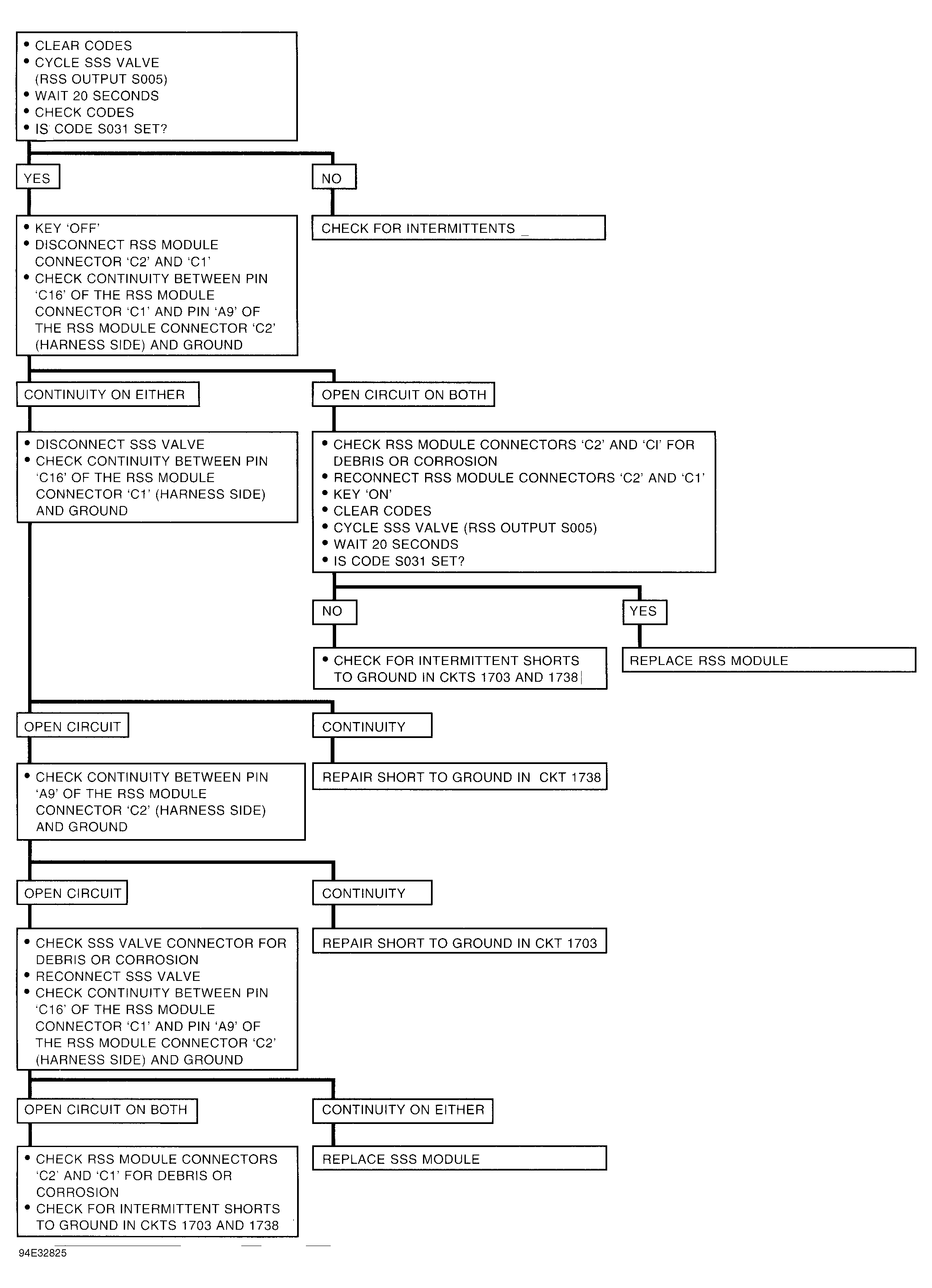
Notes On Flow Chart

Circled numbers in flow chart correspond to the following numbers:

1) See NOTES ON INTERMITTENTS  under TESTING.

2) Replace steering system fluid filter whenever the SSS steering assist solenoid valve is replaced.

CAUTION: DO NOT  backprobe connector terminals at position sensors or dampers.
NOTE: After repairs, clear codes and verify system operation.
Fig 1: CODE S031 (1 of 2)
G95C14151Courtesy of GENERAL MOTORS CORP.
Fig 2: CODE S031 (2 of 2)
G94E32825Courtesy of GENERAL MOTORS CORP.