LEMON Manuals: Even more car manuals for everyone: 1960-2025
Home >> Cadillac >> 1995 >> Eldorado Base >> Repair and Diagnosis >> Engine Performance >> System >> Engine Controls - Tests W/Codes >> Pcm Code Charts >> Code P038, Open Intake Air Temperature (IAT) Sensor >> Action
April 5, 2026: LEMON Manuals is launched! Read the announcement.

Code P038, Open Intake Air Temperature (IAT) Sensor: Action

PCM turns on MIL. PCM substitutes outside air temperature for IAT. Transaxle shift adapts are maintained at current levels.

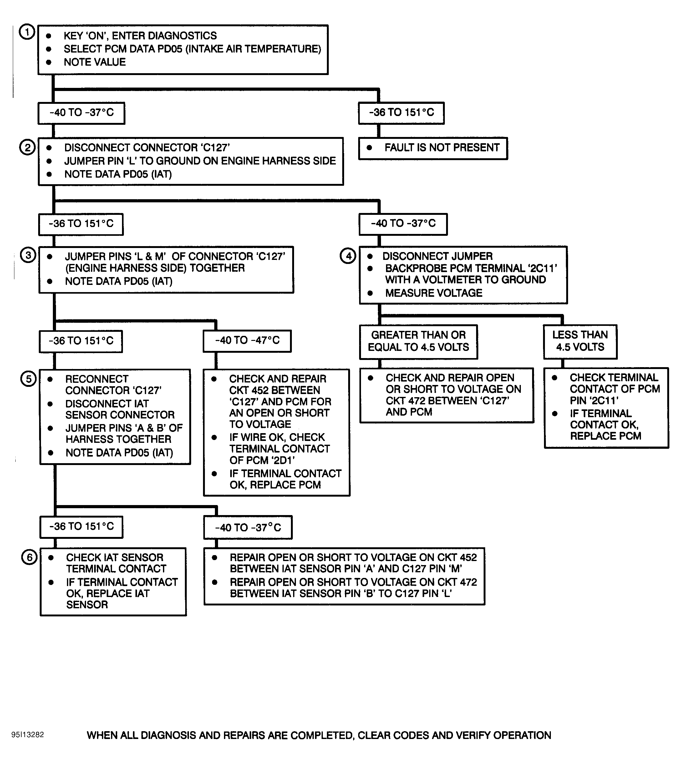
NOTE: Test numbers refer to numbers on diagnostic chart.
  1. If IAT sensor is open, PCM parameter PD05 should indicate -37°C or less. If PD05 does not indicate -37° or less, sensor signal is not open.
  2. Checks PCM and circuit No. 472 from PCM to sensor connector. If PCM data PD05 indicates 147-151°C with connector terminal "A" shorted to ground, sensor circuits and PCM are okay.
  3. Checks for open sensor circuit No. 452 (ground). If PCM data PD05 reads 147-151°C with sensor connector terminals "A" and "B" jumpered, then circuit No. 452 and PCM are okay.
  4. Checks if circuit No. 472 or if PCM is open.
  5. Checks if circuits No. 452 or 472 or IAT sensor is open or shorted to voltage.
  6. IAT sensor can be damaged by backfire in intake manifold. If vehicle has had multiple IAT sensor replacements, check for signs of backfire.
Fig 1: Code P038 Schematic, Open Intake Air Temperature (IAT) Sensor
G95B12741Courtesy of GENERAL MOTORS CORP.
Fig 2: Code P038 Diagnostic Flow Chart, Open IAT Sensor
G95I13282Courtesy of GENERAL MOTORS CORP.