LEMON Manuals: Even more car manuals for everyone: 1960-2025
Home >> Cadillac >> 1995 >> Eldorado Base >> Repair and Diagnosis >> Engine Performance >> System >> Engine Controls - Tests W/Codes >> Pcm Code Charts >> Code P062, Cruise Control Vacuum Solenoid Problem >> Action
April 5, 2026: LEMON Manuals is launched! Read the announcement.

Code P062, Cruise Control Vacuum Solenoid Problem: Action

PCM disables cruise control.

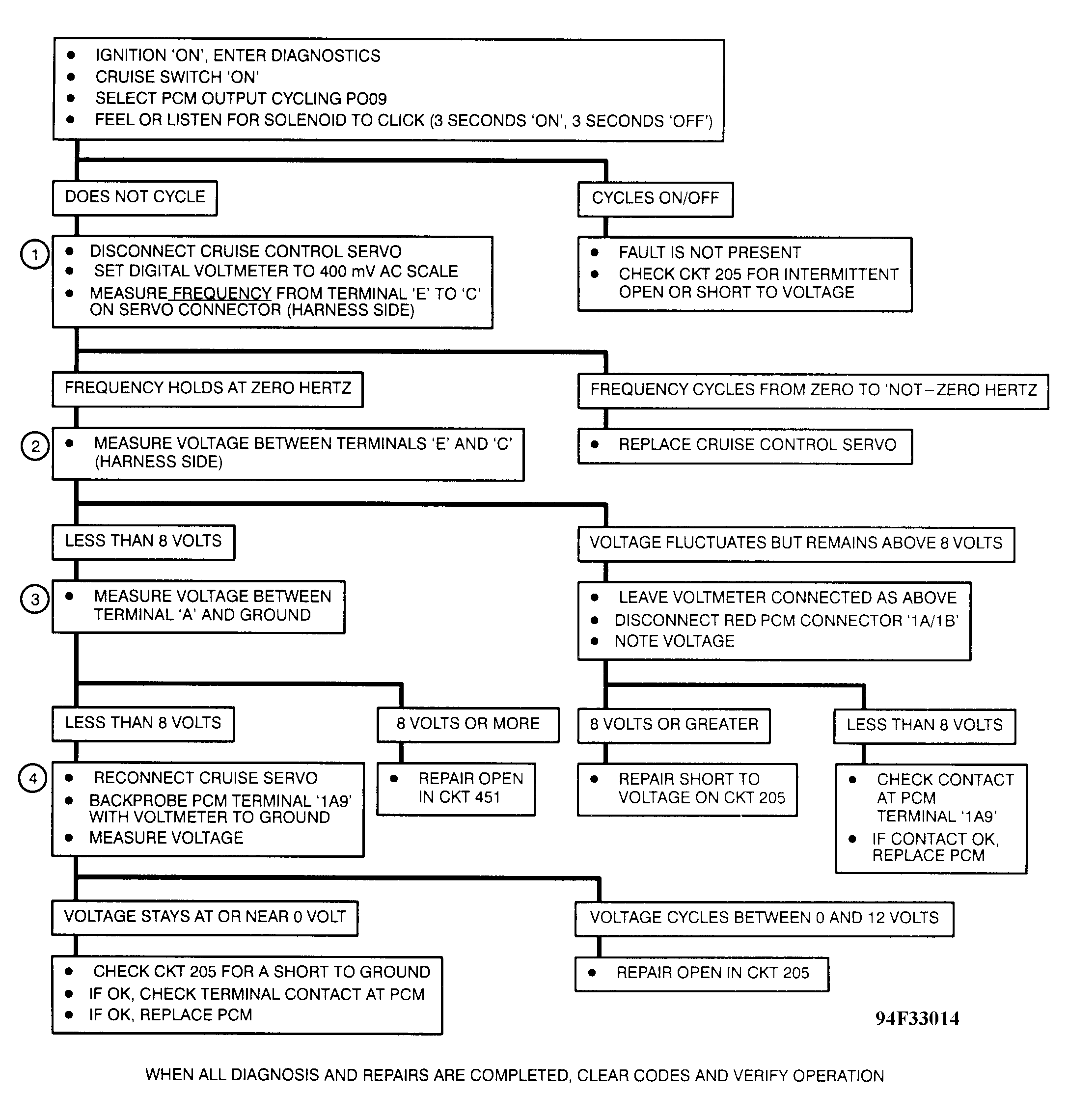
NOTE: Test numbers refer to numbers on diagnostic chart.
  1. Checks if fault is due to cruise control servo or circuit. Frequency should cycle between zero and a non-zero number. If DVOM stays at zero, circuit or PCM is at fault.
  2. Checks for short to voltage in circuit No. 205.
  3. Checks for open in circuit No. 451.
  4. Checks PCM's ability to control cruise control servo. Voltage should cycle between zero and 12 volts. If voltage does not cycle, check circuit No. 205 for open.
Fig 1: Code P062 Schematic, Cruise Control Vacuum Solenoid Problem
G94C33011Courtesy of GENERAL MOTORS CORP.
Fig 2: Code P062 Diagnostic Flow Chart, Cruise Control Vacuum Solenoid Problem
G94F33014Courtesy of GENERAL MOTORS CORP.