LEMON Manuals: Even more car manuals for everyone: 1960-2025
Home >> Cadillac >> 1995 >> Eldorado Base >> Repair and Diagnosis >> Engine Performance >> System >> Engine Controls - Tests W/Codes >> Pcm Code Charts >> Code P071, Intermittent Map Sensor Signal >> Action
April 5, 2026: LEMON Manuals is launched! Read the announcement.

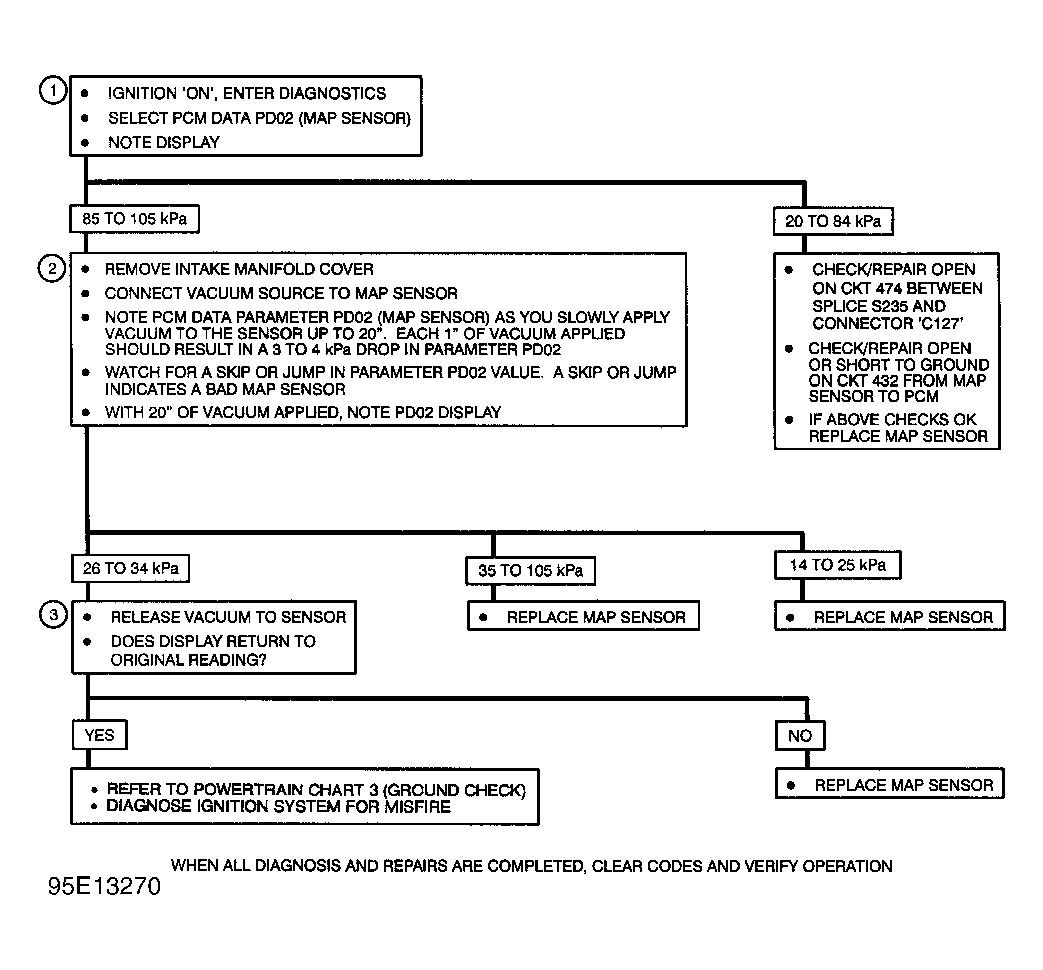
Code P071, Intermittent Map Sensor Signal: Action

PCM uses substitute MAP value based on engine RPM and throttle position switch status.

NOTE: Test numbers refer to numbers on diagnostic chart. Reference to CHART 3 refers to POWERTRAIN CHARTS.
  1. Checks if MAP can read BARO pressure correctly (87-105 kPa).
  2. Checks MAP sensor's ability to react to a known vacuum (26-34 kPa).
  3. Checks MAP sensor's ability to react to sudden change in vacuum.
Fig 1: Code P071 Schematic - 1 Of 2, Intermittent MAP Sensor Signal
G95B12741Courtesy of GENERAL MOTORS CORP.
Fig 2: Code P071 Schematic - 2 Of 2, Intermittent MAP Sensor Signal
G94I33074Courtesy of GENERAL MOTORS CORP.
Fig 3: Code P071 Diag. Flow Chart, Intermittent MAP Sensor Signal
G95E13270Courtesy of GENERAL MOTORS CORP.