LEMON Manuals: Even more car manuals for everyone: 1960-2025
Home >> Cadillac >> 1995 >> Eldorado Base >> Repair and Diagnosis >> Engine Performance >> System >> Engine Controls - Tests W/Codes >> Pcm Code Charts >> Code P094, Transaxle Shift Solenoid "A" Problem >> Action
April 5, 2026: LEMON Manuals is launched! Read the announcement.

Code P094, Transaxle Shift Solenoid "A" Problem: Action

PCM turns on MIL. PCM allows only 2nd gear when forward gear is selected.

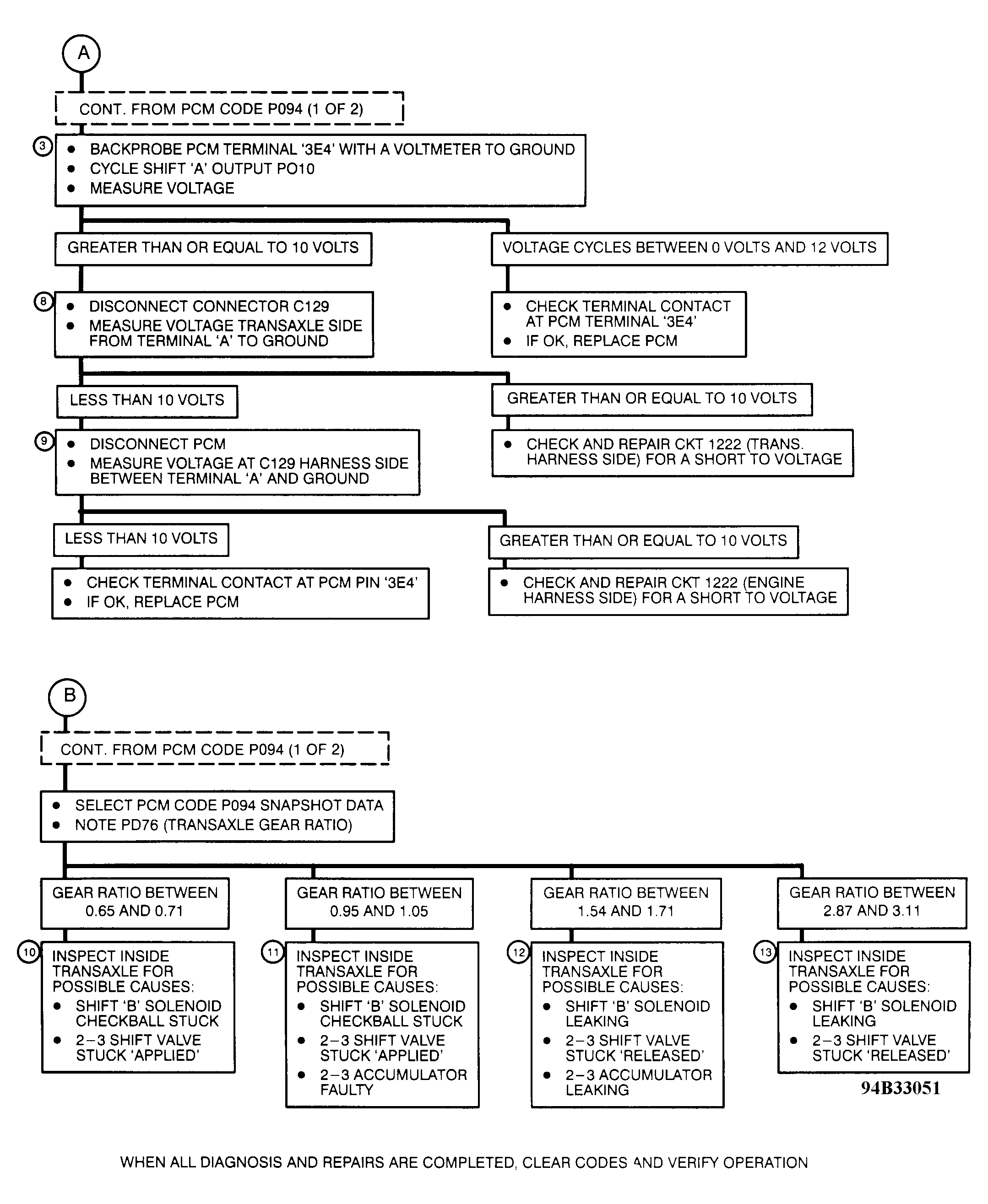
NOTE: Test numbers refer to numbers on diagnostic chart.
  1. Checks if Code P117 is set. Presence of code will cause transaxle problem.
  2. Checks if shift solenoid "A" is HI when it be LO or vice-versa.
  3. Checks if PCM is operating correctly and setting a false code.
  4. Checks if circuit No. 741 is open at connector.
  5. Checks if circuit No. 1222 (engine harness side) is open.
  6. Checks if circuit No. 1222 (trans. harness side) is shorted to ground inside transaxle.
  7. Checks for an open circuit inside transaxle.
  8. Checks if circuit No. 1222 (trans. harness side) for short to voltage inside transaxle.
  9. Checks if circuit No. 1222 (engine harness side) for short to voltage from connector to PCM.
  10. Checks for possible cause for getting 4th gear when 3rd gear is commanded.
  11. Checks for possible cause for getting 3rd gear when 4th gear is commanded.
  12. Checks for possible cause for getting 2nd gear when 1st gear is commanded.
  13. Checks for possible cause for getting 1st gear when 2nd gear is commanded.
Fig 1: Code P094 Schematic, Transaxle Shift Solenoid "A" Problem
G94D32972Courtesy of GENERAL MOTORS CORP.
Fig 2: Code P094 Diagnostic Flow Chart - 1 Of 2, Transaxle Shift Solenoid "A" Problem
G94A33050Courtesy of GENERAL MOTORS CORP.
Fig 3: Code P094 Diagnostic Flow Chart - 2 Of 2, Transaxle Shift Solenoid "A" Problem
G94B33051Courtesy of GENERAL MOTORS CORP.