LEMON Manuals: Even more car manuals for everyone: 1960-2025
Home >> Cadillac >> 2000 >> Seville STS V8-4.6L VIN 9 >> Repair and Diagnosis >> Powertrain Management >> Computers and Control Systems >> Relays and Modules - Computers and Control Systems >> Engine Control Module >> Diagrams >> Diagnostic Aids >> Additional Diagnostic Information >> Equivalent - Decimal and Metric
April 5, 2026: LEMON Manuals is launched! Read the announcement.

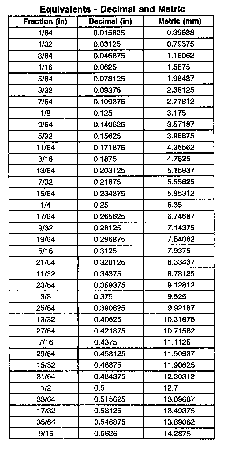
Equivalent - Decimal and Metric

Equivalents - Decimal And Metric (Part 1 Of 2):



Equivalents - Decimal And Metric (Part 2 Of 2):