LEMON Manuals: Even more car manuals for everyone: 1960-2025
Home >> Cadillac >> 2000 >> Seville STS V8-4.6L VIN 9 >> Repair and Diagnosis >> Specifications >> Mechanical Specifications >> Engine >> System Specifications >> Thread Repair Specifications
April 5, 2026: LEMON Manuals is launched! Read the announcement.

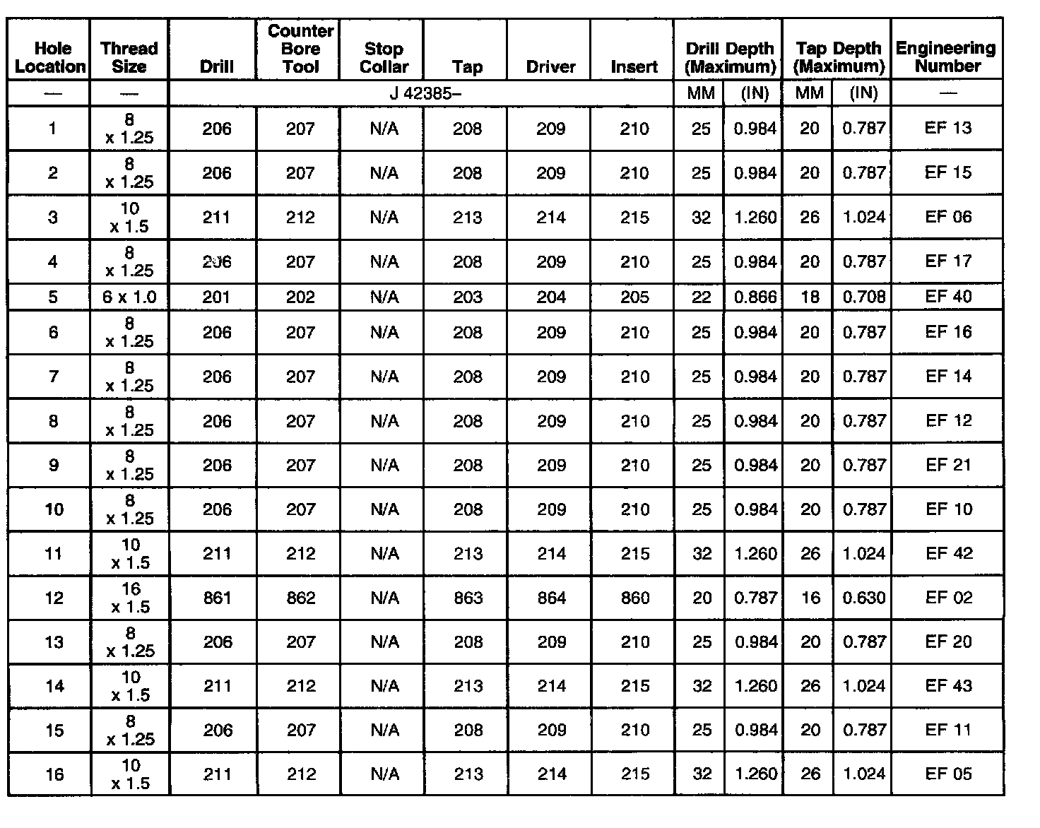
Thread Repair Specifications












Left Cylinder Head Cam CVR









Left Cylinder Head Front Face









Left Cylinder Head Intake Face









Left Cylinder Head Exhaust Face









Left Cylinder Head Rear Face












Right Cylinder Head Cam CVR









Right Cylinder Head Front Face









Right Cylinder Head Intake Face









Right Cylinder Head Exhaust Face









Right Cylinder Head Rear Face












Engine Block Front












Engine Block Rear












Engine Block Left Side









Engine Block Right Side









Engine Block Top Face












Engine Block Lower









Engine Block Left Deck









Engine Block Right Deck












Lower Crankcase Pan