LEMON Manuals: Even more car manuals for everyone: 1960-2025
Home >> Cadillac >> 2002 >> Escalade EXT >> Repair and Diagnosis (Single Page) >> Engine Mechanical >> Mechanical >> Engine Mechanical - 4.8L, 5.3L, & 6.0L (Unit Repair) >> Specifications >> Thread Repair Specifications >> Engine Block-Front View
April 5, 2026: LEMON Manuals is launched! Read the announcement.

Engine Block-Front View

Fig 1: Engine Block - Front View
G01674544Courtesy of GENERAL MOTORS CORP.
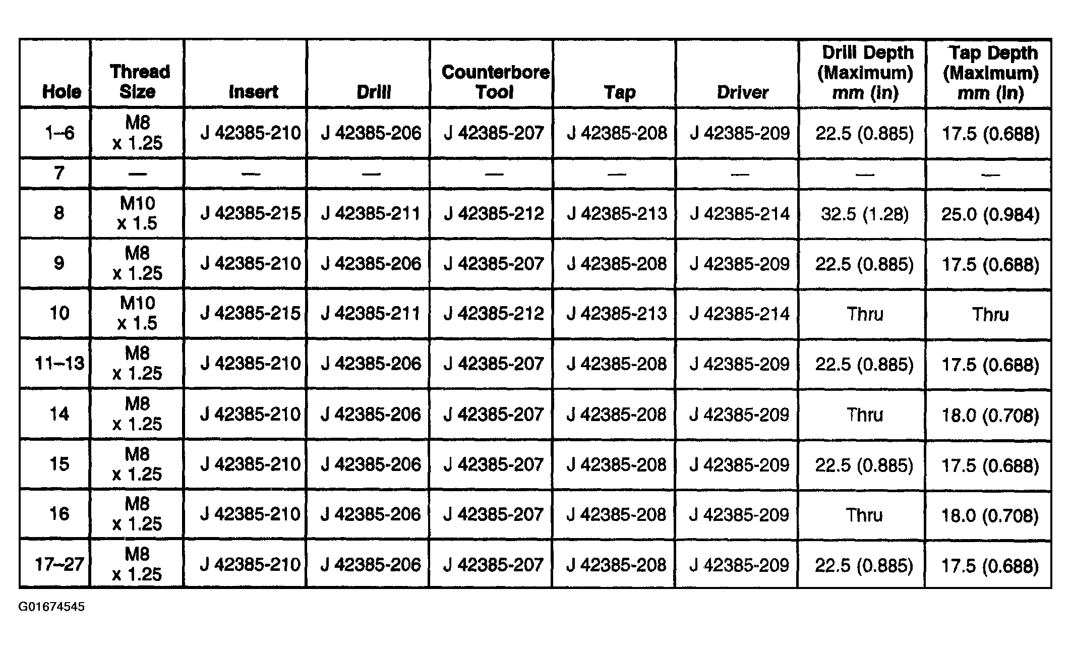
Fig 2: Engine Block - Front View Hole Thread Sizes
G01674545Courtesy of GENERAL MOTORS CORP.