LEMON Manuals: Even more car manuals for everyone: 1960-2025
Home >> Cadillac >> 2003 >> Escalade EXT >> Repair and Diagnosis (Single Page) >> Engine Mechanical >> Engine Mechanical - 4.8L, 5.3L & 6.0L >> Thread Repair Specifications >> Engine Block-Front View
April 5, 2026: LEMON Manuals is launched! Read the announcement.

Engine Block-Front View

Fig 1: Identifying Engine Block-Front View - Thread Repair
G02116229Courtesy of GENERAL MOTORS CORP.
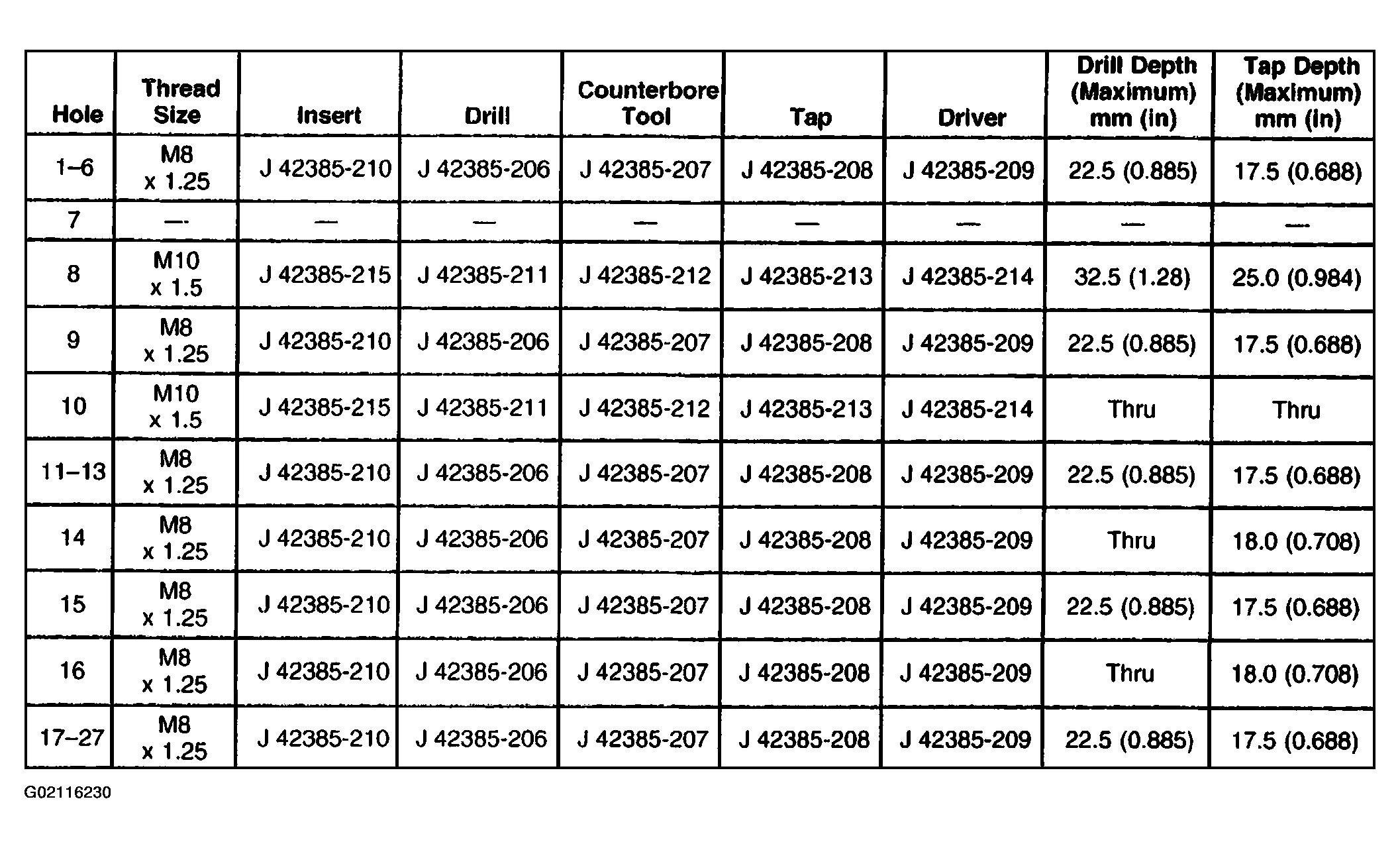
Fig 2: Thread Repair Specifications Index - Engine Block-Front
G02116230Courtesy of GENERAL MOTORS CORP.